The purpose of manuscript is to substantiate the effectiveness, clarify the content and determine the features of matrix approach to research of complex management objects. The matrix approach based on descriptive and facet methods of research of management objects, described mainly by qualitative characteristics, and involves the joint use of actual classification attributes and dichotomies, as the result of which binary matrices create, the sectors of which contain variants of studied management objects. The manuscript describes the features of using binary matrices in research of complex management objects, develops it basic classification, substantiates the choice of methods for determining actual qualitative attributes and dichotomies of management objects, reflects the methodological aspects of matrix approach to digitalization of management objects, to structuring these objects and substantiating the content of definitions of it terms, to the study of options for modeling and transformation of these objects, as well as the principles of matrix approach to research of complex management objects clarify.
## I. INTRODUCTION
Management in business involves the impact of subject on objects that are difficult to describe with quantitative parameters. To solve this problem, it is necessary to use its qualitative characteristics. In particular, this is due to fact that in an economy focused on creating values (AMA, 2017), "consumer behavior is difficult to predict, even for experts in the field" (Armstrong, 1991).
This aspect of management activity supposes the use of qualitative research or "an approach for exploring and understanding the meaning individuals or groups a scribe to a social or human problem" (Creswell, 2014).
Unfortunately, the theory and methodology of qualitative research of complex management objects are not developed sufficiently, which leads to the following problems of science and practice:
1. The ambiguous description of objects of qualitative research, as evidenced by numerous definitions of management (Hitt, 2012); marketing (Contreras and Ramos, 2016); logistics (Kukovic et al., 2014); Supply Chain Management (Janvier-James, 2012); etc. The same is possible to say about the most popular management objects today, such as "value" (Loanne and Webster, 2014) and "sustainability" (Devuyst et al., 2001);
2. The vaguely expressed relationships between large sections of management and related scientific disciplines. For example, the interrelationships issue of "Supply Chain Management", "Value Chain Management" and "Demand Chain Management" concepts not resolved yet (Ramsey, 2005; Walters and Rainbird, 2004; Santos and D'Antone, 2014; Thublier et al., 2010). Despite the significant supporters number of Supply Chain Management concept (CSCMP, 2013), they never managed to prove its priority over Logistics concept (Georgi and Kaiser, 2009; Tyapukhin, 2012), etc; and
3. The subjective approach to substantiating research results. For example, the opinion of Bowersox et al. (2000) on existence of "ten mega-trends that will revolutionize logistics supply chains", with all due respect to authors, not proven, since questions remain unanswered: "Why are exactly ten, and, for example, not seven of these mega-trends listed?", and "Why are these mega-trends proposed?" Similar questions are possible to ask by many authors related to qualitative research, and not get a full answer.
In the absence of unambiguous solution to problems listed above, the steady practice of negative attitude towards attempts to improve methods of qualitative research takes place. This situation described by Charmaz (2006) very clearly:[^2] "...any methodological advice would go awry and researchers would blame him for the resulting mess. Offering methodological advice invites misunderstanding and constructive critiques". As result, the reasonable question arises: "If generally accepted methods are not able to objectively eliminate the existing problem, then why do they continue to be replicated?"
The lack of tools for solving the problems outlined above leads to significant difficulties in modeling research objects and its behavior depending on environmental factors and the nature of managerial influences.
In the conditions of continuous improvement of computer and software, excellent conditions created for the digitalization of management objects. However, for the unambiguous description of these objects, it is necessary to develop its machine codes, the basis of which form mainly qualitative characteristics. Unfortunately, the scientific foundations of this approach developed still insufficiently.
The lack of classifications and adequate codes of management objects does not allowing investigate its structure and substantiate new management decisions. It is unlikely that management specialists can currently answer:
1. How the "distribution channel" differs from the "supply chain"?
2. What are the differences between numerous types of resellers: jobber, dealer, trader, commission agent, etc.?
3. Why in definition of term "Supply Chain Management" in CSCMP (2013) version only three functions of management listed: planning, coordination, cooperation, and most important functions such as motivation, control, coordination, etc. are ignored?
The basis for solving above problems can provide by matrix approach to research of complex management objects, the main aspects of which presented in this manuscript.
## II. LITERATURE REVIEW
The basis for solving above problems can provide by matrix approach to research of complex management objects, the main aspects of which presented in this manuscript. The matrix in scientific research, in particular, defined as "as set of numbers or terms arranged in rows and columns; that within which, or within and from which, something originates, takes form, or develops" (Agnes, 2000). As follows from this definition, matrices are widely represented in both quantitative and qualitative research. The features of management objects determine the use of matrix approach, which based mainly on qualitative methods, and "should be the preferred approach for social sciences" (Hameed, 2020). Matrices differ in significant variety, so it is necessary to clarify which types of matrices will discuss further. This type of matrices described in sufficient detail. Their peculiarity is the joint use, as a rule, of several classification qualitative attributes of research object. To identify these matrices, it is advisable to refer to it as the "attribute-dichotomy" matrix. To form binary matrices of this type, it is necessary:
1. To select the research object;
2. To identify the relevant classification attributes of this object in required quantity, for example, two;
3. To determine its dichotomies (in simplest case, according to principle of "more or less");
4. Using Cartesian coordinate system as the prototype, position horizontally (axis "0X") first classification attribute and vertically (axis "0Y") second attribute; and
5. Dividing each of axes into two parts, place the dichotomies corresponding to these attributes in each of it. As result, binary matrix field with four sectors formed to accommodate the desired variants of research object (Bailey, 1994) (Fig. 1).
 Fig. 1: Example of the Binary Matrix based on Two Qualitative Attributes and it Dichotomies
As follows from contents of Fig. 1, variants of research object may have the binary codes processed using computer and software. In this case, the dichotomies of considered qualitative attributes indicated by symbols "0" and "1", and variants of objects by binary codes "00", "01", "10" and "11", respectively.
Binary matrices can form based on three and more the qualitative attributes. If the researcher uses three such attributes, then volume matrix with eight sectors form, in which codes use, starting from "000" and ending with "111" in binary system of calculus. If the quantity of attributes is more than three, then it is convenient to use the matrix in form of table to formalize research results (Table 1).
It follows from contents of Fig. 1 and Table 1 that on basis of "X" qualitative attributes, "2x" variants of research objects are possible to distinguish (Bailey, 1994). For example, if the researcher uses 33 classification attributes, that he can describe $2^{33} = 8589934592$ research objects uniquely. This means that every inhabitant of planet differs from other similar inhabitants by at least one of 33 actual qualitative attributes. When using appropriate computer and software, each inhabitant of planet can have the unique code that replaces his passport with limited set of qualitative and quantitative attributes.
Table 1: The Principle of Forming the N-Dimensional Matrix based on Three or More Qualitative Attributes
<table><tr><td>Quality attribute 1 (dichotomy "0"/dichotomy "1")</td><td>Quality attribute 2 (dichotomy "0"/dichotomy "1")</td><td>...</td><td>Quality attribute x (dichotomy "0"/dichotomy "1")</td><td>Variant of research object (RO)</td></tr><tr><td>0</td><td>0</td><td>...</td><td>0 → RO1</td><td></td></tr><tr><td>0</td><td>0</td><td>...</td><td>1 → RO2</td><td></td></tr><tr><td>...</td><td>...</td><td>...</td><td>... →...</td><td></td></tr><tr><td>1</td><td>1</td><td>...</td><td>1 → RO2x</td><td></td></tr></table>
If the researcher plans to distinguish between three management concepts: Supply Chain Management (Oliver and Weber, 1982), Demand Chain Management (Jüttner et al., 2007) and Value Chain Management (Porter, 1985), he should use 2 classification attributes $(2^{2} = 4 > 3)$. At the same time, a fourth (Fig. 1) variant of chain management is possible to obtain, which deserves the separate research. These attributes and variant of chain management concept substantiated by Tyapukhin (2021).
Literature review confirms the high efficiency of binary matrices based on qualitative attributes to substantiate new research results. As example, it is possible to cite the achievements of such authors as Ansoff (1957); Hichens and Robinson (1978); Patel and Younger (1978); Weihrich (1982); Hax and Majluf (1983); Abell (1993); Thompson and Strickland (1995); Hinterhuber et al. (1996); Wheeler and Sillanpää (1997); Hussey (1999); Drummond and Ensor (2001); Rasiel and Friga (2001); Stern and Deimler (2006), etc. In these studies, matrices proposed that allow not only to organize various management objects, but also to offer practitioners the reliable tool for making managerial decisions in conditions of uncertainty and risk. At same time, it is necessary to mention the binary matrices as tool implemented after the problem of ordering and structuring management objects, usually subjectively substantiated earlier, becomes urgent. Therefore, the point of view of Stock and Boyer (2009) deserves attention, who investigated the structure of 176 definitions of term "Supply Chain Management", dividing it according to attribute of "number of classification attributes used by authors". As result of their research, the author's definition of term "Supply Chain Management" created, which did not find proper support from specialists. Consequently, the Stock and Boyer (2009) method certainly arouses scientific interest, but it is unproductive from point of view of clarifying the essence of studied term. Note that 8 qualitative attributes $(2^{\times} = 176)$ are sufficient to distinguish 176 research objects.
The literature analysis devoted to identification of essence of matrix approach to research of management objects showed that:
1. Experts in the field of qualitative research methods (Bailey, 1994; Charmaz, 2006; Creswell, 2014; Hameed, 2020, etc.) do not provide the description of methods for forming, analyzing and optimizing binary matrices. Their main attention focused on development and use of matrices, mostly for conducting sociological surveys;
2. Management specialists use the matrix approach to research of complex objects without substantiating actual qualitative attributes and it dichotomies
(Drews, 2008); apply insufficient amounts of these attributes to solve it objectives (Bea and Haas, 2016); have difficulties using quantitative parameters to position research objects on field matrices (Paul and Wollny, 2011), although attempts are made to eliminate these difficulties partially, in particular (Kim, 2020); and
3. Options for refining and supplementing the originally created binary matrices proposed (using the example of popular matrix of Boston Consulting Group (Stern and Deimler, 2006)), such as matrices for studying universities (Debrecht and Levas, 2014), determining options for transforming one research object into another (Mohajan, 2018), sharing different types of matrices to solve specific research objective (Lane, 2003; Myllyla and Kaivooja, 2015; Bauerle and Gorne, 2019; Khajezadeh et al., 2019; etc.).
This manuscript will reveal the theoretical and methodological aspects of matrix approach to research of complex management objects, which has significant potential for solving the problems of qualitative research listed above.
## III. RESULT
(1) Features of using Binary Matrices in the Research of Complex Management Objects To use the matrix approach to research of complex management objects effectively, it is necessary:
1. To create the list of classification attributes adequate to it, characterizing not only the state of these objects in process of evolution, but also environmental factors that determine the nature of this evolution. To solve this problem, it is advisable to use literary sources that contain the description of these objects, including it terms; and conduct sociological surveys of specialists and practitioners familiar with the composition, behavior and attributes of studied management objects. At same time, it should borne in mind that subjective factors have significant impact on research results. So, when answering the question: "Which attribute will be the main one for Supply Chain Management?" marketers will single out "value", producers: "relationships", logistics: "flows", etc. It is necessary to reconcile with the fact that there will be many definitions of same term depending on scope of its use;
2. To rank the classification attributes obtained on specific date of research by number of references to it both in literary sources and according to results of sociological surveys;
3. If the number of variants of research object is known (for example, 176 definitions of term "Supply Chain Management"), determine the number of so-called
actual classification attributes (or first-level attributes). In relation to the term "Supply Chain Management", as mentioned earlier, there should be at least 8. Actualattributes should form large segments or variants groups of research object, within which it is possible to identify actual attributes of second level, etc.;
4. To form the list of possible dichotomies characterizing the state or behavior of studied objects of each of actual classification attributes. In this case, additional literature research and sociological surveys of specialists and practitioners may require; and
5. Depending on research objectives, to study the structure and dynamics of transformation of these objects using 1, 2, 3 or more attributes and dichotomies together (Fig. 1 and Table 1).
The above sequence of actions involves monitoring the list of classification attributes and especially it actual part. It is quite possible that after another analysis of literature and survey of specialists and practitioners, the number of these attributes, dichotomies and ranks assigned to it earlier will be revised, which will lead to the adjustment of essence and content of research object. The example is definition of term "Supply Chain Management" (CSCMP, 2013). The formation and development of concept of sustainability and sustainable development (WCED, 1987) seriously affects the essence and content of this term. New versions of its appeared (for example, Gupta and Palsule-Desai, 2011; Moral and Search, 2013). It is obvious that these terms are interrelated, but the nature of these relationships are necessary to specify, which are possible to identify on basis of matrix approach. The inevitable adjustment of essence and content of various research objects may lead to the change in number of actual classification attributes describing it. At same time, the appearance of new variant of object may require the use of new or previously irrelevant attributes and dichotomies. In this case, the newly formed or corrected binary matrix will include unfilled sectors, which will require additional research of seemingly already known research object in order to describe its new variants that remain out of field of view of specialists for a while.
Let's consider the prospects, as well as theoretical and practical aspects of implementation of matrix approach to research of complex management objects.
(2) Basic Classification of Binary Matrices
Binary matrices can form based on quantitative parameters and qualitative characteristics of complex management objects. Moreover, these parameters and characteristics are inherent of both the classification attributes and dichotomies. Based on this, it is possible to create the matrix shown in Fig.
2.
Properties of Management Object Attribute
<table><tr><td rowspan="3">Properties of Management facility object dichotomy</td><td>Parameters</td><td>Parameters</td></tr><tr><td>A. Matrix of "quantity-quantity" type</td><td>B. Matrix of "quality-quantity" type</td></tr><tr><td>C. Matrix of "quantity - quality" type</td><td>D. Matrix of "quality - quality" type</td></tr></table>
Fig. 2: Classification of Matrices Taking to Account the Parameters and Characteristics As follows from contents of Fig. 2, four variants of matrices are possible to obtain: A "quantity - quantity"; B "quality - quantity"; C "quantity - quality",
and D "quality – quality". Let's explain the features of matrix variants presented above using the example of manufacturing process of cylindrical part (Table 2).
Table 2: Content of Binary Matrices on Example of Cylindrical Part (Fig. 2)
<table><tr><td>Type</td><td>Attributes of management objects</td><td>Dichotomies of management objects attributes</td></tr><tr><td rowspan="4">A</td><td rowspan="2">Diameter of cylindrical part D=100±0.05 mm</td><td>D=100,03 mm or within the tolerance (standard)</td></tr><tr><td>D=99,2 mm or outside of tolerance (non-standard)</td></tr><tr><td rowspan="2">Length of cylindrical part L=230±0.35 mm</td><td>L=230,3 mm or within tolerance (standard)</td></tr><tr><td>L=229,5 mm or outside of the tolerance (non-standard)</td></tr><tr><td rowspan="4">B</td><td rowspan="2">Surface roughness quality</td><td>Corresponds to the highest profile height "Rz" and the deviation "y"</td></tr><tr><td>Not corresponds "Rz" and the deviation "y"</td></tr><tr><td rowspan="2">Heat treatment quality</td><td>Corresponds to the depth "h" and the hardness "HRC"</td></tr><tr><td>Notcorrespondsto the depth "h" and the hardness "HRC"</td></tr><tr><td rowspan="4">C</td><td rowspan="2">Diameter of cylindrical part D=100±0.05 mm</td><td>Size control performed</td></tr><tr><td>Size control not performed</td></tr><tr><td rowspan="2">Length of cylindrical part L=230±0.35 mm</td><td>Size control performed</td></tr><tr><td>Size control not performed</td></tr><tr><td rowspan="4">D</td><td rowspan="2">Surface roughness type</td><td>Parallel</td></tr><tr><td>Perpendicular</td></tr><tr><td rowspan="2">Heat treatment type</td><td>Chemical and thermaltreatment</td></tr><tr><td>Thermomechanical</td></tr><tr><td></td><td></td><td></td></tr></table>
As follows from contents of Table 2:
tolerances (deviations of these parameters) chosen by dichotomies: $\pm 0.05$ mm and $\pm 0.35$ mm, respectively. As result of measuring the tolerances, four basic options for manufacturing cylindrical part are possible, and in two cases it must reject;
2. The option "B" takes into account two qualitative characteristics: "surface roughness quality" and "heat treatment quality". Moreover, both first and second characteristics confirmed or refuted after appropriate measurements, respectively: by highest profile height "Rz" and deviation "y", as well as by depth "h" and hardness "HRC". This option prevails in qualitative research of complex management objects;
3. The option "C" based on two quantitative parameters: diameter of cylindrical part $D = 100 \pm 0.05 \, \text{mm}$ and its length $L = 230 \pm 0.35 \, \text{mm}$. The dichotomies in this case are the qualitative characteristics reflecting the procedure for monitoring these parameters: "size control performed" and "size control not performed"; and
4. The option "D" characterize by two qualitative characteristics: types of roughness and heat treatment with corresponding dichotomies: parallel or perpendicular, chemical and thermal treatment or thermomechanical. Naturally, in addition to these dichotomies, there are other variants. However, in these conditions, this researcher may not be interested in other variants of dichotomies. This variant of matrix is most time-consuming in research of complex management objects and, unfortunately, not found proper application.
(3) Binary Matrices as the Tool for Digitalization of Complex Management Objects
Modern trends in development of economics and management imply the continuous improvement of qualitative research methods of complex management objects. In particular, the introduction of term "value" into scientific circulation (Porter, 1985) implies its uniqueness (Vargo and Lusch, 2008), created by unique product and/or service for unique consumer by unique value chain using unique technology from unique set of resources[^1] or the situation referred to by author as Six "U". This situation assumes the classification of all components listed above separately and together without limiting the number of research objects, i.e. without using "some short and methods such as clustering algorithms or formulas" (Bailey, 1994). If it is impractical or impossible to limit the number of research objects, the digitalization is necessary for it processing using computer and software.
Fig. 3 shows the example of classification of Supply Chain Management components, which identified using content of its four terms. Such components are "enterprise" (Coyle et al., 2013), code "00"; "business processes" (Wisner et al., 2012), code
"10"; "relationships" (Christopher, 2011), code "01", and "flows" (Blackhurst et al., 2012), code "11".
Static"0" Dynamics"1" Enterprise ▼"00" Business Processes "10" Technology management Relationships "01" Flow or Inventory "11" Logistics management Enterprises Chain Process Chain
<table><tr><td>Static"0"</td><td colspan="2">"Dynamics"1"</td></tr><tr><td>Enterprise
▼"00"</td><td>Business
Processes
"10"</td><td>Technology
management</td></tr><tr><td>Relationships
"01"</td><td>Flow or
Inventory
"11"</td><td>Logistics
management</td></tr><tr><td>Enterprises
Chain</td><td>Process
Chain</td><td></td></tr></table>
Fig. 3: Example of classification of Supply Chain Management components (Tyapukhin, 2021) As follows from contents of Fig. 3, when creating values for end consumer of products and/or services, it is necessary to take into account the demands of this consumer and profile of activity of supply chain links capable of creating this value. These two dichotomies can use together under the auspices of such classification attribute as "supply chain formation factors". It should note that after fulfilling the consumer's demand, relationships between enterprises may not maintain, and flows between enterprises may change both quantitatively and qualitatively. In this case, the supply chain can be the object of statics: enterprises and relationships (the chain of enterprises) or the object of dynamics: business processes interconnected by resource flows (the chain of business processes). In this case, the dichotomies reflect opposite states of chain management in time. Thus, "enterprise" has activity profile and, if necessary, is able to receive and satisfy the demands of consumer; "relationships" are created and maintained, as the rule, unchanged when receiving and satisfying the demands of this consumer; "business processes" correspond to profile of enterprise and provide value creation for end consumer; "flows" move to time and space and include objects that create this value. Each of components presented in Fig. 3, in accordance with the information in Fig. 1, has corresponding binary code. The combination of these codes allowing form the code of complex management object. For example, code 11.10.000.01.001 reflects the sequence: "flow, business process, enterprise 1, enterprise 2, relationships" and characterizes the following object: flow "11", accompanied by business process "01", fulfilled by enterprise "00.0", directed to enterprise "00.1" in accordance with the relationships "102".
(4) Binary matrices as the tool for digitalization of complex management objects As it shown earlier, to solve this problem, analysis of literary sources and sociological surveys of specialists are necessary. It results allow to develop the binary matrices in one of two ways:
(1) Using the combination of various actual qualitative attributes of research object. Previously, it claimed that there are four chain management objects, such as supplies (products and/or services), demands, values and novelties (Tyapukhin, 2021). In combination with the components of chain management (Fig. 3), it allowing substantiate the list of characteristic aspects of chain management (Table 3) and develop the principles of this type of management.
Table 3: Characteristic Aspects of the Principles of Chain Management
<table><tr><td rowspan="2">Chain Elements</td><td colspan="4">Management Objects</td></tr><tr><td>Product and/or service (100)</td><td>Demand (101)</td><td>Novelty (110)</td><td>Value (111)</td></tr><tr><td>Enterprises (000)</td><td>Order (000100)</td><td>Virtuality (000101)</td><td>Risk (000110)</td><td>Variant (000111)</td></tr><tr><td>Relationships (001)</td><td>Rhythm (clock cycle) (001100)</td><td>Unification (001101)</td><td>Synergy (001110)</td><td>Compromise (001111)</td></tr><tr><td>Processes (010)</td><td>Technology (010100)</td><td>Digitalization (010101)</td><td>Potential (010110)</td><td>Structure (010111)</td></tr><tr><td>Flows (011)</td><td>Sustainability (011100)</td><td>Barriers (noise) (011101)</td><td>Optimization (011101)</td><td>Lost profit (011111)</td></tr></table>
As follows from the contents of Table 2,
- (a) this method does not use the dichotomy of objects and management components; and
- (b) each characteristic aspect and further the principle of chain management is possible to indicate by the corresponding binary code that ensures its processing using computer and software management activities;
(2) with the help of some sequence of actions that allowing achieve the desired state of research object. So, for example, if it choose the enterprise as research object, and develop the quality management system for its, which means "a set of interrelated or interacting elements of an organization to establish policies, objectives, and processes to achieve those objectives" (ISO 9000:2015), then for this, as the analysis of literary sources shows, it is necessary to use the sequence of results aimed at adapting the quality management system to changes in the external and internal environment, presented in Fig. 4.
 Fig. 5: Classification of Components of Enterprise's Quality Policy (01) Fig. 4: The Sequence of Results Aimed at Adapting the Quality Management System to Changes in the External and Internal Environment of Enterprise
The contents of Fig. 4 and, in particular, the results "priorities of enterprise", code "010", and "mission components of enterprise", code "011", make possible to substantiate the components of enterprise's quality policy (Fig. 5).
Priorities of enterprise. (100) Strategic vision (0) Development of potential (1)
<table><tr><td rowspan="2">Values (0)
Components of
enterprise's mission
(101)
Resources (1)</td><td>Destiny
(0100)</td><td>Ideas
(0101)</td></tr><tr><td>Goals
(0110)</td><td>Principles
(0111)</td></tr></table>
As follows from contents of Fig. 5, the enterprise's quality policy includes the destiny, code "0100", ideas, code "0101", goals, code "0110", and principles, code "0111". By analogy, other components of quality management system with codes "00", "10" and "11" are possible to obtain, which is the objective of further research.
### a) Binary Matrices as the Tool for Structuring and Ordering Previously Created Management Objects
As example, let's consider the point of view of Cooper et al. (1997) on classification of main business processes of Supply Chain Management and show, while preserving the author's components of this classification, how its correctness can prove using binary matrix. Almost any business process of Supply
Chain Management designed either to create value for the end consumer of products and/or services, or not to create, but only to accompany or have indirect relationship to it. These dichotomies correspond to classification attribute "purpose of business process" (Table 4).
One or another business process can fulfill either by one link of supply chain (enterprise), or by two or more enterprises together (in this case, it are talking about supply chain including several links). Obviously, the link and chain are objects of management. Finally, any business process designed to prioritize achieving the goals of one of links in supply chain: consumer or supplier. The classification attributes and dichotomies outlined above make it possible to distinguish not eight or $2^{3}$ business processes according to Cooper et al. (1997), but nine. The desire to preserve intact the business processes proposed by respected authors requires some clarifications of their point of view in following areas:
(1) Table 2 confirms the point of view of Cooper et al. (1997) on existence of eight business processes in supply chains. However, at same time, it is advisable to divide the business process "manufacturing flow management" into two business processes: "technology management" and "Flow management" (more correctly, "logistics management");
(2) In order not to "lose" the business process "customer service management" and to show its difference from the business process "logistics management", it should be taken into account that it accompany the value of end consumer, fulfill by several links in supply chain and contribute to achievement of goal of this consumer. At same time, these business processes have different objectives. If logistics management designed to eliminate barriers to the trajectory of products movement, then customer service management supports the quality of products that create value for this consumer. As will shown below, the matrix approach contributes to substantiation of already existing subjective points of view by "selecting" appropriate classification attributes and dichotomies, which, unfortunately, are ignored by
Table 4: Example of classification of business processes of Supply Chain Management (the basic version by Cooper
<table><tr><td>Business process assignment</td><td>Type of manage ment object</td><td>Chain link priority</td><td colspan="2">Key business processes of Supply Chain Management</td></tr><tr><td>Creating value</td><td>Chain link</td><td>et al., 1997 Consumer</td><td colspan="2">Product Development and Commercialization (000)</td></tr><tr><td>Creating value</td><td>Chain link</td><td>Supplier</td><td colspan="2">Technology Management (001)</td></tr><tr><td>Creating value</td><td>Chain as the whole</td><td>Consumer</td><td colspan="2">Order Fulfillment (010)</td></tr><tr><td>Creating value</td><td>Chain as the whole</td><td>Supplier</td><td colspan="2">Return Management (011)</td></tr><tr><td>Accompag- nement value</td><td>Chain link</td><td>Consumer</td><td colspan="2">Customer Relationship Management (100)</td></tr><tr><td>Accompag- nement value</td><td>Chain link</td><td>Supplier</td><td colspan="2">Supplier Relationship Management (101)</td></tr><tr><td rowspan="3">Accompag- nement value</td><td rowspan="3">Chain as the whole</td><td rowspan="3">Consumer</td><td colspan="2">Business process task</td></tr><tr><td>Removing barriers in the supply chain</td><td>Maintaining product quality</td></tr><tr><td>Logistics manageme- nt (110a)</td><td>Customer Service Management (1106)</td></tr><tr><td>Accompag- nement value</td><td>Chain as the whole</td><td>Supplier</td><td colspan="2">Demand Management (111)</td></tr></table>
### b) Binary Matrices as the Tool for Substantiating the Content of Terms Definitions of Management Objects
As example, let's choose the well-known term "sustainability". Recall that the purpose of research is not to substantiate new definition of this term, but to demonstrate the possibilities of matrix approach to research of complex management objects.
Exploring this term, it should remember that the sustainability of management object predetermined by the state of its environment, or mode of its functioning, which is the reaction to influence of certain external factors. In addition to the term "sustainability" the terms "resilience" (e.g., Holling, 1973), "resistance", "transformability", "adaptability" (e.g., Pisano, 2012), etc. used in literature. What are the differences between these terms? To answer this question, it is necessary to remember that sustainability can violate, but it is possible either to restore the lost sustainability or to change its parameters and characteristics. These dichotomies are characteristic of above-mentioned mode of functioning management object with negative impact from the outside. The management object has goals initially, in particular, making a profit. The negative impact of external environment may allow the object to return to previously set goals, or these goals are necessary to adjust. These dichotomies reflect the classification attribute "stability of goals of management object". The use of above-substantiated attributes together leads to the formation of matrix shown in Fig.
6.
Classification attributes and dichotomies (Fig. 6) allowing give the following definition: "Sustainability of management object is the indicator that characterizes its ability to fulfill functions under the negative impact of external and/or internal environment in mode of returning to original or close to it state while maintaining previously set goals and subsequent full or partial restoration of its potential". Similarly, the definitions of other terms presented in Fig. 6 are possible to obtain.
Fig. 7 shows that the chain and channel assume consecutive movement of resources flows, while the channel maintains the parameters and characteristics of these flows stable, and the chain changes it. Similar conclusions are possible to make with respect to such types of logistics systems as front and echelon. If is the desire, it is possible to use term "network" (Netessine, 2007), which represented in Fig. 7 as echelon. However, it is the echelon, and not network, that has tree-like shape, so often used by specialists in research of management objects.
### c) Binary Matrices as the Tool for Modeling Variants of Transformation of Research Objects
In some cases, the matrix approach allows to identify the number of research objects that can transform into one another. Let's consider the example of classification of previously mentioned enterprise management concepts (Fig. 8).

Fig. 6: Classification of Components (Indicators) of Reliability of Management Object (Tyapukhin, 2019)
 Fig. 7: Main Types of Logistics Systems (Tyapukhin, 2012)
#### Number of research objects
Making the profit
Priority of object
management
Consumer loyalty
 Fig. 8: Example of Classification of basic Enterprises Management Concepts
As follows from content of Fig. 8, the research object can be either one object or several objects, for example, the chain (Fig. 7). At same time, the priorities of managing objects can be profit or loyalty (satisfaction) of single consumer. If take into account the position of suppliers, then the key success factor for them is the formation of supply chain. In turn, consumers of products and/or services focused on creating and obtaining value (AMA, 2017). The use of above classification attributes and dichotomies allows to distinguish four types of concepts: Management, Value Management (Kelly and Male, 2006), Supply Chain Management and Chain Management (Tyapukhin,
2021). Among other things, Fig. 8 shows two options for transforming the Management concept into Chain Management concept: (1) managerial: Management $\rightarrow$ Supply Chain Management $\rightarrow$ Chain Management; and (2) marketing: Management $\rightarrow$ Value Management $\rightarrow$ Chain Management.
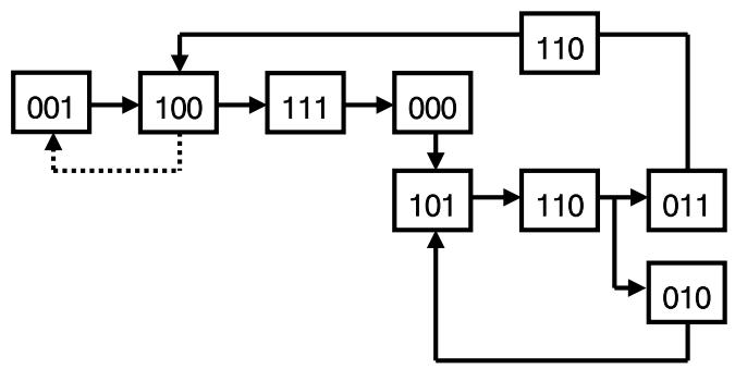
If it assume that the list of business processes specified in Table 4 can implement sequentially, then this sequence, providing for the transformation of one business process into another, can be presented in Fig. 9.
 Fig. 9: Example of the Sequence of Transformation of Business Processes of Supply Chain Management (Table 4)
As follows from contents of Fig. 9, the profile of enterprise as part of supply chains determines technological management (code "001"). However, its implementation based on customer relationship management (code "100"). The enterprise can start fulfilling technology management after managing the demands of consumer (code "111"). These demands may provoke the development of product, the implementation of which should stimulate the commercial success of this enterprise (code "000"). To manufacture the above-mentioned product, it is necessary to manage relationships with suppliers (code "101"). Suppliers using logistics management (code "110a") supply the enterprise the necessary resources, after which this enterprise fulfills the customer's order (code "011") and manages returns (code "010"). In latter case, the business process "supplier relationship management" (code "101") is required. In turn, the manufactured product sent to consumer, who will subsequently need the business process "customer service management" (code "110b").
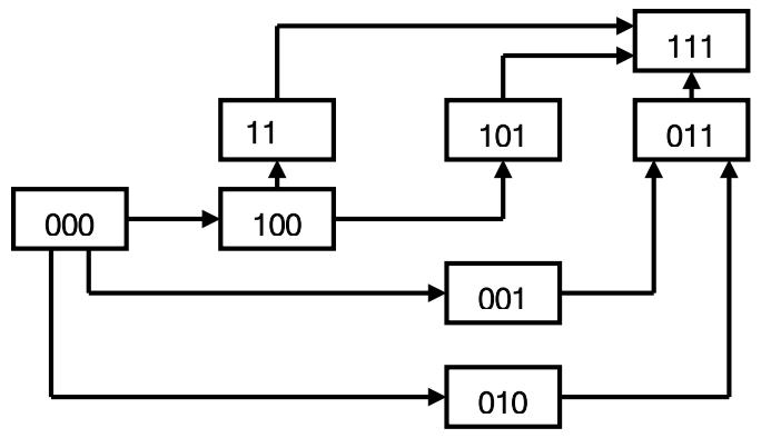
If take the management object with code "000" as basis and set the goal to transform it into object with code "111", while changing only one dichotomy and only one classification attribute, then is possible to form the universal sequence of transformation of these objects, presented in Fig. 10.
 Fig. 10: Example of the Sequence of Transformation of base Object with Code "000" into Object with Code "111"
d) Binary Matrices as the Tool For Predicting New, More Complex Management Objects
According to information in Fig. 8, the management objects are continuously becoming more complex. At same time, researchers consistently and cyclically use synthesis and analysis operations. First, the basic definition of term formed (for example, the definition of term "Supply Chain Management"). Then its modifications appear (variants of term "Supply Chain Management"). Since the supplies include various objects, the researchers suggest using the already generally recognized basic approach to managing these objects more widely. This is how definitions of terms "Demand Chain Management" and "Value Chain Management" appear. After forming chain management modifications of various objects begins, and terminological situation comes to the standstill, a new, more complex management object "Chain Management" form (Tyapukhin, 2021). The above sequence substantiated using the appropriate classification attributes and dichotomies shown in Fig. 11.

Quantity of objects before the research Fig. 11: Stages of Creating New More Complex Object (Tyapukhin, 2021)
### e) Binary Matrices as the Tool for Multilevel Structuring of Complex Management Objects
The fundamental work of Bowersox et al. (2000) aimed at substantiating mega-trends that designed to revolutionize logistics supply chains. Let's try not only to substantiate the list of these mega-trends, but also to supplement it using matrix approach. Let's turn to Fig. 12.
<table><tr><td rowspan="2">BLOCK D Interaction</td><td colspan="4">Fulfillment Management stage Preparation</td><td rowspan="2" colspan="2">BLOCK A Perspective</td></tr><tr><td colspan="2">Logistics level Integration Technology level</td><td colspan="2">Supply chain Removing barriers Enterprise</td></tr><tr><td rowspan="2">Information Chain links</td><td>Vertical to Virtual Integration C 2.1</td><td>Information Hoarding to Sharing C 1.1</td><td>Competition among enterprises to Competition among supply chains A</td><td>Decision to 'make' to Decision to 'buy' (to outsourcing) A 1.1</td><td rowspan="4">System Process Fixing object of assets or person Development object of development</td><td rowspan="4">State of enterprise (supply chains) Development</td></tr><tr><td>Functional to Process Integration C 2.2</td><td>Profit earning at enterprises to Profit earning in supply chains</td><td>Experience to Transition Strategy A 2.2</td><td>Forecast to Endcast A 1.2</td></tr><tr><td rowspan="2">Subject and subject Object</td><td>Absolute to Relative Value D 2.1</td><td>Customer Service to Relationship Management D 1.1</td><td>Investments into production to Investments into human resources</td><td>Realizing owned assets to realizing supply chains assets B 1.1</td></tr><tr><td>Managerial accounting to Value-Based Management D 2.2</td><td>Individual work to Team work D 1.2</td><td>Training to Knowledge-Based Learning B 2.2</td><td>Adversarial to Collaborative B 1.2</td></tr><tr><td>BLOCK C Consumers</td><td colspan="2">Relationship Management orientations Value</td><td colspan="2">Long-term Preparation period Short-term</td><td colspan="2">BLOCK B Intelligence</td></tr></table>
Fig. 12: Ten Mega-Trends According to Bowersox Et Al. (2000) and It Author's Interpretation
Analysis of contents of Figure 12 allows make the following conclusions:
from contents of Fig. 12, it include blocks: A. "Perspective", B. "Intellect, C. "Consumers", and D. "Interaction";
(4) each of four basic blocks, in turn, using appropriate classification attributes and dichotomies, is possible to divide into four sections. For example, block A. "Perspective" on basis of such classification attributes and dichotomies as "fixing object": system or process and "removing barriers": enterprise or supply chain includes four sectors, for each of which is possible either pick up the already proposed Bowersox et al. (2000) mega-trends, or, based on selected classification attributes, suggest new mega-trends that not taken into account by respected authors. For example, sector A1.2 of block A. "Perspective" corresponds to previously proposed mega-trend "Forecast to Endcast", and sector A2.2 mega-trend "Experience to Transition Strategy". In turn, sectors A1.1 and A2.1 cannot fill with mega-trends proposed by Bowersox et al. (2000). Focusing on classification attributes and dichotomies of Block A allows fill these sectors with mega-trends in the author's execution, respectively,
- "decision to 'make' to Decision to 'buy' (to outsourcing)" (Sector A 1.1) and "competition among enterprises to competition among supply chains" (sector A 2.1). It highlighted in Fig. 9 with underlined text in italics; and
(5) similarly, the matrix fills with ten mega-trends proposed by Bowersox et al. ((2000). The remaining six unfilled sectors of matrix include mega-trends (underlined text in italics) substantiated by author of manuscript.
f) Principles of the Matrix Approach to Research of Complex Management Objects As follows from above information, the matrix approach based on following principles: uniqueness (the set of classification attributes and dichotomies); hierarchy (the relationships and structure); continuity (the phase transitions); dynamism (the frequency of use and replacement time). The content and interpretations of these principles are necessary to prove. To do this, it is advisable to use the following classification attributes and dichotomies: "state of research object": stability or development and "objects of system approach": components and interrelations (Fig. 13).

State of Research Object Fig. 13: Principles of Matrix Approach to Research of Complex Management Objects
Let's demonstrate the features of these principles using the information in Fig.
14.
Uniqueness: Fig. 14 shows four types of binary matrices: A, B, C and D, each of which reflects the list of stages of manufacturing preparation. To create it, 4 classification attributes 1, 2, 3 and 4 with it corresponding dichotomies used. Matrix A formed by attributes 1 and 2; matrix B by attributes 1 and 3; matrix C by attributes 2 and 4; and matrix D by attributes 3 and 4. Fig. 14 shows that the change of one classification attribute changes the content of matrix partially, which makes it unique, differing at least one of stages of manufacturing preparation.
Hierarchy: Each of manufacturing preparation stages it is possible to structure also. For example, the objectives of logistics support in manufacturing preparation (the sector with filling of matrix D) is possible to distinguish using such classification attributes and dichotomies as "economic priority of value management": costs and time, and "technological priority of value management":
quantity and quality (these priorities used in definition of logistics "7 Right" (Shapiro and Heskett, 1985) (Fig. 15).
Continuity: At certain stages of manufacturing development, as mentioned earlier, actual attributes can change in quantity and quality. Fig. 14 shows that replacing attributes 1 with attributes 2 allowing save such stages of manufacturing preparation as science-research work, constructeur manufacturing preparation and technologi-
 Fig. 14: Main Stages of Manufacturing Preparation (Tyapukhin, 2017)
cal manufacturing preparation. At same time, instead of consulting stage (matrix A), the stage of organizational culture (matrix B) becomes relevant. The consulting stage is possible to use also, but its rank becomes lower than rank of "organizational culture" stage.
Dynamism: This principle presupposes the timely replacement of some actual classification attributes and dichotomies with other actual attributes and dichotomies. Obtaining additional competitive advantages due to better service to end consumers at certain points in time may provoke the use of outsourcing (matrix C) or logistics support (matrix D) or all stages of manufacturing preparation presented in Fig. 14, but with it different ranks.
This article outlines the basics of matrix approach to research of complex management objects, on basis of which actual problems of organization and conducting qualitative research can solve.
## IV. DISCUSSION
Some theoretical and methodological aspects of matrix approach to research of complex management objects presented in literature and found application in practical activities of enterprises. At same time, the matrices proposed by various authors created mainly according to the "quality - quantity" type, that is, on basis of two qualitative attributes and dichotomies represented by the scale of quantitative parameters, the matrix field formed on which various variants of management objects placed. However, it is not always possible to quantify these objects. In this case, it is necessary to use "quality-quality" matrix. Matrices of this type make it possible to clearly distinguish the management objects; substantiate the content of definitions of it terms; take into account the professional interests of various groups of specialists who have own point of view on the management object; predict the appearance of new management objects and simulate the processes of transformation of these objects from one option to another.
According to prospects of using the matrix approach to research of complex management objects in the future, the discussion is possible about the determination of use fields of this approach; the selection of actual qualitative attributes of studied management object and it dichotomies; changes in content of traditional definitions of various terms and it standardization; refinement of content of dictionaries of various types; clarification of methods for research of management objects, methods of it digitalization, etc.
## V. CONCLUSION
In this manuscript the previously published results systematized, and also theoretical and methodological aspects concerning the use of matrix approach to research of complex management objects substantiated. In future, it is necessary to clarify and supplement the essence, relationships and content of basic components of chain management, such as "enterprises", "relationships", "business processes", and "flows", taking into account the specifics of various types of chains. To do this, it is necessary to determine its actual qualitative attributes and dichotomies for each management object; to study the main variants of this object using it combinations; to substantiate the processes of transformation of one object variant into another; to develop first universal, and then specific definitions of terms of this object. After fulfilling these works, it is advisable to develop the hierarchy of management objects, which allows, in the event of the change in one or more management objects, to assess the consequences of this change on hierarchy of objects as whole.
In addition, the task of future research is to digitalize the research results of complex management objects, which allowing optimize the content and increasing the intellectual potential of computer and software of management activities in various types of chains.
### ACKNOWLEDGEMENTS
This article was prepared in accordance with the state task of the Russian Ministry for education and science to the Institute of Economics, Ural branch of Russian Academy of Sciences for the year 2022.
#### Postscript
Dear Reader! You have the opportunity to evaluate the prospects of matrix approach to research of complex management objects using simple example. Please answer the question: "If you are sitting now, what furniture item under you?" Possible answers to this question can find in binary matrix, which is located behind references (Appendix A, Table A1).
#### Appendix A
Table A1: Classification of Furniture Items on which People Sit
<table><tr><td>How many people is furniture items designed for?</td><td>Hard or soft seat under you?</td><td>Does your furniture item backrest?</td><td>The furniture item you're sitting on</td></tr><tr><td>Per person</td><td>Hard</td><td>No</td><td>Tabouret</td></tr><tr><td>Per person</td><td>Hard</td><td>Yes</td><td>Stool</td></tr><tr><td>Per person</td><td>Soft</td><td>No</td><td>Ottoman</td></tr><tr><td>Per person</td><td>Soft</td><td>Yes</td><td>Armchair</td></tr><tr><td>On two or more</td><td>Hard</td><td>No</td><td>Bench</td></tr><tr><td>On two or more</td><td>Hard</td><td>Yes</td><td>Pew</td></tr><tr><td>On two or more</td><td>Soft</td><td>No</td><td>Sofa</td></tr><tr><td>On two or more</td><td>Soft</td><td>Yes</td><td>Settee</td></tr></table>
[^1]: The author's note highlighted in italics. _(p.6)_
[^2]: Italics of author. _(p.6)_
Generating HTML Viewer...
References
68 Cites in Article
D Abell (1993). Managing with Dual Strategies: Mastering the Present -Preempting the Future.
M Agnes (2000). Webster's new world college dictionary.
(2017). American Marketing Association (AMA).
H Ansoff (1957). Strategies for Diversification.
J Armstrong (1991). Prediction of Consumer Behavior by Experts and Novices.
K Bailey (1994). Typologies and taxonomies: An introduction to classification techniques.
M Bäuerle,J Görne (2019). McKinsey Portfolio.
Franz Bea,Jürgen Haas (2016). Strategisches Management.
J Blackhurst,D Cantor,M O'donnell (2012). Sustainable Supply Chains: A Guide for Small-to Medium-sized Manufacturers.
D Bowersox,D Closs,T Stank (2000). Ten mega-trends that will revolutionize supply chain logistics.
K Charmaz (2006). Constructing Grounded Theory: A Practical Guide Through Qualitative Analysis.
M Christopher (2011). Logistics, Operations, and Supply Chain Management.
F Contreras,M Ramos (2016). What is Marketing? A Study on Marketing Managers' Perception of the Definition of Marketing.
M Cooper,D Lambert,J Pagh (1997). Supply Chain Management: More than a New Name for Logistics.
J Coyle,E Bardi,C Langley (2003). Logistics, Procurement, and Supplier Relationship.
J Creswell (2014). Research design: qualitative, quantitative, and mixed methods approaches.
(2013). Council of Supply Chain Management Professionals (CSCMP).
D Debrecht,M Levas (2014). Using the Boston Consulting Group Portfolio Matrix to Analyze Management of a Business Undergraduate Student Program at a Small Liberal Arts University.
C Desoer,H Haneda (1972). The measure of a matrix as a tool to analyze computer algorithms for circuit analysis.
D Devuyst,L Hens,W Lannoy (2001). How Green is the City? Sustainability Assessment and the Management of Urban Environments.
Hanno Drews (2008). Abschied vom Marktwachstums-Marktanteils-Portfolio nach über 35 Jahren Einsatz? Eine kritische Überprüfung der BCG-Matrix.
Graeme Drummond,John Ensor,Ruth Ashford (2001). Strategic Marketing: Planning and Control.
C Georgi,G Kaiser (2009). A taxonomy of Supply Chain Management functions? A systemicconstructivist perspective on Logistics vs.
Sudheer Gupta,Omkar Palsule-Desai (2011). Sustainable supply chain management: Review and research opportunities.
Hassan Hameed (2020). Quantitative and qualitative research methods: Considerations and issues in qualitative research.
A Hax,N Majluf (1983). The use of the growth-share matrix in strategic planning.
R Hichens,S Robinson (1978). The Directional Policy Matrix: Tool for Strategic Planning.
Hans Hinterhuber,Stephan Friedrich,Gernot Handlbauer,Ulrich Stuhec (1996). The company as a cognitive system of core competences and strategic business units.
M Hitt,J Black,L Porter (2012). Management.
C Holling (1973). Resilience and stability of ecological systems.
D Hussey (1999). ISO 9000 AND THE FUTURE.
Assey Janvier-James (2012). A New Introduction to Supply Chains and Supply Chain Management: Definitions and Theories Perspective.
John Kelly,Steven Male (2006). Value Management in Design and Construction.
M Khajezadeh,M Niasar,S Asli,D Davari,M Godarzi,Y Asgari (2019). Application of Neural Network in Portfolio Product Companies: Integration of Boston Consulting Group Matrix and Ansoff Matrix.
S.-K Kim (2020). Advanced Mathematical Business Strategy Formulation Design.
D Kukovič,D Topolšek,B Rosi,B Jereb (2014). A comparative literature analysis of definitions for logistics: between general definition and definitions of subcategories.
D Lane (2003). Download TEMSCON 2018 Conference Program (PDF).
I Lapunka,I Picz,P Wittbrodt (2017). Planning production preparation processes using: the critical chain method.
Susan Loane,Cynthia Webster (2014). Consumer-to-consumer value within social networks.
H Mohajan (2018). An Analysis on BCG Growth Sharing Matrix.
O Morali,C Searcy (2013). A review of sustainable suppy chain management practices in Canada.
Yrjö Myllylä,Jari Kaivo-Oja (2015). Integrating Delphi methodology to some classical concepts of the Boston consulting group framework: arctic maritime technology BCG Delphi foresight—a pilot study from Finland.
S Netessine (2007). Supply Chain Networks.
R Oliver,Michael Webber (1982). Supply-Chain Management: Logistics Catches up with Strategy.
Peter Patel,Michael Younger (1978). A frame of reference for strategy development.
Herbert Paul,Volrad Wollny (2011). Instrumente des strategischen Managements.
U Pisano (2012). Resilience and Sustainable Development: Theory of resilience, systems thinking and adaptive governance/ESDNQuarterly Report.
M Porter (1985). Competitive Advantage: Creating and Sustaining Superior Performance.
J Ramsey (2005). The real meaning of value in trading relationships.
E Rasiel,E Friga (2001). The McKinsey Mind. Understanding and implementing the Problem -Solving Tools and Management Techniques on the World's Top Strategic Consulting Firm.
Juliana Santos,Simona D'antone (2014). Reinventing the wheel? A critical view of demand-chain management.
R Shapiro,J Heskett (1985). Logistics Strategy: Cases and Concepts.
C Stern,M Deimler (2006). Boston Consulting Group on Strategy.
James Stock,Stefanie Boyer (2009). Developing a consensus definition of supply chain management: a qualitative study.
F Thublier,T Hanby,Y Shi (2010). Value Chain = Supply Chain + Demand Chain: New Approaches to Creating and Capturing Sustainable Value.
A Thompson,A Strickland (1995). Crafting & Implementing Strategy.
Richard Irwin Unknown Title.
A Toni,A Meneghetti (2000). The production planning process for a network of firms in the textileapparel industry.
Alexey Tyapukhin (2012). Structure of logistics management from a computer perspective.
A Tyapukhin (2017). Structure of pre-production in knowledge-intensive sectors of the economy.
A Tyapukhin (2019). Sustainability of Resource Supply Systems.
Alexey Tyapukhin (2021). Structure of logistics management from a computer perspective.
S Vargo,R Lusch (2008). Service-dominant logic: Continuing the evolution.
D Walters,M Rainbird (2004). The demand chain as an integral component of the value chain.
Martin Holdgate (1987). Our Common Future: The Report of the World Commission on Environment and Development. Oxford University Press, Oxford & New York: xv + 347 + 35 pp., 20.25 × 13.25 × 1.75 cm, Oxford Paperback, £5.95 net in UK, 1987..
D Wheeler,M Sillanpää (1997). London Paintings by Frank P. Brown.
H Weihrich (1982). The TOWS matrix -a tool for situational analysis.
No ethics committee approval was required for this article type.
Data Availability
Not applicable for this article.
How to Cite This Article
Alexey P. Tyapukhin. 2026. \u201cBinary Matrices in Qualitative Research of Complex Management Objects\u201d. Global Journal of Management and Business Research - A: Administration & Management GJMBR-A Volume 23 (GJMBR Volume 23 Issue A4): .
Explore published articles in an immersive Augmented Reality environment. Our platform converts research papers into interactive 3D books, allowing readers to view and interact with content using AR and VR compatible devices.
Your published article is automatically converted into a realistic 3D book. Flip through pages and read research papers in a more engaging and interactive format.
The purpose of manuscript is to substantiate the effectiveness, clarify the content and determine the features of matrix approach to research of complex management objects. The matrix approach based on descriptive and facet methods of research of management objects, described mainly by qualitative characteristics, and involves the joint use of actual classification attributes and dichotomies, as the result of which binary matrices create, the sectors of which contain variants of studied management objects. The manuscript describes the features of using binary matrices in research of complex management objects, develops it basic classification, substantiates the choice of methods for determining actual qualitative attributes and dichotomies of management objects, reflects the methodological aspects of matrix approach to digitalization of management objects, to structuring these objects and substantiating the content of definitions of it terms, to the study of options for modeling and transformation of these objects, as well as the principles of matrix approach to research of complex management objects clarify.
Our website is actively being updated, and changes may occur frequently. Please clear your browser cache if needed. For feedback or error reporting, please email [email protected]
Thank you for connecting with us. We will respond to you shortly.