In today’s world, there is a growing concern about environmental preservation and the impact of human actions on it. The Brazilian Panel on Climate Change highlights the interference of these actions, which reach a global scale and unprecedented magnitude. The intensification of carbon dioxide (CO2) emissions into the atmosphere since the Industrial Revolution has been a significant factor in global climate change and the intensification of the greenhouse effect. Therefore, the objective of this thesis is to investigate the impact of energy consumption and economic growth on carbon dioxide emissions. This thesis is classified as explanatory research and is characterized by a quantitative approach. The final sample consisted of 69 countries, observed for a period of 11 years; the data were collected from the World Bank database. The analysis was carried out using the dynamic panel data structural model with fixed effects, estimated by Maximum Likelihood. The research concludes that: i) for a 1% increase in countries’ income, there was an 0.18% increase in CO2 emissions; ii) a 1% increase in renewable energy consumption had the positive effect of reducing emission levels by 0.12%; iii) however, the increase in non-renewable energy consumption aggravated the carbon dioxide problem by 0.2%; iv) a 1% increase in the total population caused a 0.21% increase in CO2 emissions; v) for a 1% increase in countries’ credit, there was a 0.13% increase in CO2 emissions.
## I. INTRODUCTION
The concept of the global energy matrix has evolved from the extraction of fossil fuels, deposited in natural reserves over millions of years. Since the advent of the Industrial Revolution in the mid-18th century, a period marked by technological development, CO2 emissions into the atmosphere have intensified.
Issues related to Earth's climate and the challenges affecting the environment have been increasingly addressed in recent decades. In this context, the Brazilian Panel on Climate Change highlights the interference of human actions on the environment and how this affects the natural functioning of the climate system. According to Cortese and Natalini (2014), due to the unprecedented global scale and magnitude of climate change, the term has become widely used in everyday communication by both the media and the scientific community.
For Marcovitch (2007), climate change is relegated to a secondary position on the global agenda, given the priority placed on war and economic issues, as observed at leadership conferences at the United Nations (UN). However, "with its global repercussions, climate change demands three simultaneous readings of different times and values" (MARCOVITCH, 2007, p. 24).
From the contemporary post-industrial perspective of Abramovay (2012), the Green Economy is an approach to economic development that aims to reconcile economic growth with environmental protection and natural resource conservation. It seeks to integrate environmental issues into economic policies, striving for more sustainable economic growth that promotes economic prosperity, social equity, and environmental protection.
Abramovay's (2012) green economy proposes a new form of economic development, based on cleaner, more efficient, and renewable practices and technologies, aiming to stimulate innovation, the creation of green jobs, and the reduction of greenhouse gas emissions and other negative impacts on the environment.
In summary, based on the outlined questions, this research seeks to answer the following research problem: considering the above, what is the impact on CO2 emissions generated through energy consumption and economic growth?
The objective of this research is to estimate the impact of economic growth and energy on carbon dioxide emissions. This thesis adds to the challenge of understanding the results or resolving doubts regarding contemporary studies on the environment, especially considering CO2 emissions as the main element. In practical terms, it is believed that bringing forth calculations and conclusions that support, or not, publications from the scientific community can contribute to a deeper understanding of the topic.
## II. THEORETICAL FRAMEWORK
The Paris Agreement, adopted on December 12, 2015, by the Parties to the United Nations Framework Convention on Climate Change, aimed primarily at reducing greenhouse gas emissions from 2020 onwards. The negotiation is considered a significant challenge among nations regarding the risks and impacts of global climate change, as well as in obtaining resources to implement the Agreement.
In addition, the main goals are highlighted: To increase the capacity to adapt to the adverse impacts of climate change; to promote climate resilience and low greenhouse gas emission development in a manner that does not threaten food production; and to make financial flows consistent with a pathway to low greenhouse gas emissions (UNFCCC, 2015).
According to Mitchell et al. (2018), the Paris Agreement established targets signed by participating countries consensually. They were intentions of more ambitious long-term temperature reduction, implying greater rigor in emissions reduction. Article 2 of the Paris Agreement identifies its main objectives, such as keeping the increase in global average temperature below $2^{\circ}\mathrm{C}$ compared to pre-industrial levels, recognizing that this would significantly reduce the risks and impacts of climate change.
Rajamani and Werksman (2018), in analyzing the legal nature of the target contained within the overall framework of the Paris Agreement, in which nearly 200 sovereign nations reached a consensus, all countries agreed on the challenge of keeping the global temperature increase below $2^{\circ}\mathrm{C}$ in the long term. The impacts of not achieving the target are predicted, as emissions trends, greenhouse gas concentrations in the atmosphere, and the increase in global average temperature could lead to irreversible effects for humanity, emphasize the authors, along with the need for individual and collective awareness.
According to Rajamani and Werksman (2018), concerns about the viability of the agreement are inevitable, as there is no specific legally binding provision regarding the actions of each of the Parties after the agreement. Nevertheless, it implies that commitment and adaptation costs are likely to increase; however, there is a lack of provisions regarding applicable financing related to the operational role, both at the national and international levels, especially in the existential aspirations of the most vulnerable countries.
As per Millar and Friedlingstein (2018), fossil fuels provide energy for most of our fundamental technologies, presenting a challenge to achieving the goals of the Paris Agreement. In the current historical record of the agreement, we are at the threshold of future cumulative CO2 emissions; concerning the value presented, there are chances, at best, to limit warming to $1.5^{\circ}\mathrm{C}$.
Millar and Friedlingstein (2018) state that overcoming this challenge is inevitable for the strategic need for vigorous or preventive responses that eliminate the possibility of further climate change. Even when assuming a very strong demand for energy consumption, initiatives to reduce fossil fuel emissions are still not ruled out. However, an essential step in stabilizing the climate, in any situation, is the balance of anthropogenic sources and sinks, so that the reduction of net carbon dioxide emissions to zero is successful. However, based on the available evidence in the UNFCCC process (2015), it is noted that the term anthropogenic applies to both emissions from sources and removals by sinks.
When considering institutional theory as one of the objects of analysis in this work, it is necessary to first seek the context in which it is inserted, and a greater understanding of concepts studied by other authors. In this sense, Scott (2008) asserts that institutional theory is an economic theory that studies social institutions and the forms of regulation that influence economic decision-making and the behavior of individuals. It focuses on how institutions, including laws, regulations, and social norms, affect economic development and the relationships between different economic actors.
According to DiMaggio and Powell (1983), institutional theory is used to understand changes in the structural arrangements of organizations because it focuses on the norms and values that guide how organizations are structured and operate. The theory highlights that social institutions, including organizations, are influenced by a set of normative pressures, including external regulations and internal practices. Changes in normative pressures can lead to changes in the structure and practices of organizations. Thus, the use of institutional theory helps to understand how these changes arise and how organizations adapt to them over time.
According to Tolbert and Zucker (1999), in institutional theory, organizations are influenced by normative pressures because these norms provide a way to establish expectations and behavioral standards for organizational actions. External normative pressures, such as those from the state, are shaped by legal regulations and public policies that organizations must adhere to. Internal normative pressures result from traditions, values, and practices established within the organization over time. Both sources of normative pressures help to define social expectations and ensure that organizations act appropriately and responsibly.
For DiMaggio and Powell (1983), institutional theory results from the convergence of influences from different theoretical bodies, such as political science, sociology, and economics, because these disciplines recognize the importance of institutions and patterns of behavior, norms, values, beliefs, and assumptions in understanding human and organizational conduct. Institutional theory seeks to integrate these influences to provide a more comprehensive view of how social institutions, including organizations, are formed and influenced by these behavioral patterns, values, and beliefs.
According to Meyer and Rowan (1977), in institutional theory, organizations are compelled to incorporate practices and procedures defined by rationalized concepts of organizational work because these concepts are seen as accepted and socially recognized standards. They provide a common basis for decision-making and for defining roles and responsibilities in organizations. Additionally, external institutions, such as government regulations and sectoral norms, may impose these rationalized concepts and require organizations to incorporate them into their practices and procedures. Adopting these rationalized concepts of organizational work allows organizations to achieve greater efficiency and effectiveness in their operations, which can be advantageous in terms of competitiveness and market survival. Therefore, organizations have incentives to incorporate these rationalized concepts into their practices and procedures.
Powell and Colyvas (2008) argue that institutional theory seeks to explain the structure and functioning of organizations as socially constructed realities because they believe that institutions are not mere formal structures, but are the result of social interactions and historical processes. According to this theory, institutions are shaped by values, beliefs, norms, and collective expectations, and these social characteristics influence how organizations operate and develop. Additionally, institutions also influence individual actions, and this interaction between institutions and individuals helps to explain economic behavior. Overall, institutional theory provides a theoretical basis for explaining how social institutions are structured and how they influence human and organizational behavior.
## III. SCIENTIFIC METHOD
Regarding its objective, the present thesis is classified as explanatory research and characterized by a quantitative approach, which seeks to identify the factors that contribute to or determine the occurrence of phenomena. "This is the type of research that deepens the understanding of reality because it explains the reasons for the facts" (FIGUEIREDO, 2007, p. 93). A set of data extracted from the World Bank database (WDI, 2022) between 2010 and 2021 was employed, covering a period of 11 years. The final sample consisted of 69 countries, as shown in Table 1.
Table 1: Distribution of Countries in Continental Regions
<table><tr><td>Region</td><td>Countries</td></tr><tr><td>Americas</td><td>Argentina, Brazil, Canada, Chile, Colombia, Ecuador, United States, Mexico, Peru, and Venezuela.</td></tr><tr><td>Asia</td><td>Saudi Arabia, Azerbaijan, Bangladesh, Kazakhstan, China, United Arab Emirates, Philippines, Hong Kong SAR, India, Indonesia, Iran, Iraq, Israel, Japan, Kuwait, Malaysia, Oman, Pakistan, Russia, Singapore, Sri Lanka, Thailand, Turkey, and Vietnam</td></tr><tr><td>Africa</td><td>South Africa, Algeria, Egypt, and Morocco</td></tr><tr><td>Europe</td><td>Germany, Austria, Azerbaijan, Belarus, Belgium, Bulgaria, Cyprus, Croatia, Denmark, Slovakia, Slovenia, Spain, Estonia, Finland, France, Greece, Hungary, Ireland, Iceland, Italy, Latvia, Lithuania, Luxembourg, North Macedonia, Norway, Netherlands, Poland, Portugal, United Kingdom, Romania, Russia, Sweden, Switzerland, Czech Republic, and Turkey</td></tr><tr><td>Oceania</td><td>Australia and New Zealand</td></tr></table>
Countries with missing data for the entire period were excluded; thus, balanced data were used, representing a total of 759 observations. The variables included in this study are as follows: carbon dioxide emissions "emi_c", carbon dioxide emissions (t-1) "emi_c_1", renewable energy "en_r", non-renewable

energy "en_rr", GDP per capita "gdp_c"; in addition to control variables: domestic credit to the private sector "cre_c", and total population "pop_c".
Carbon dioxide is a greenhouse gas produced by the burning of fossil fuels such as oil, natural gas, and coal, as well as by the degradation of organic matter such as wood. Carbon dioxide emissions are one of the main factors responsible for current climate change, as an increase in its concentration in the atmosphere contributes to global warming. Most carbon dioxide emissions come from the burning of fossil fuels to produce energy, transportation, heating and cooling of buildings, and other industrial activities. Other sources of carbon dioxide emissions include cement production, fertilizer production, and deforestation.
The variable highlighted as carbon dioxide emissions (t-1) refers to the lagged variable in the previous period. It indicates the relationship of the dependent variable, carbon dioxide emissions, with itself, in the previous year. Renewable energy is generated from natural sources that are renewable and inexhaustible, such as the sun, wind, water, biomass, and heat from the Earth's interior. These energy sources are considered renewable because they can be constantly replenished and do not generate toxic or polluting waste, as is the case with fossil fuels.
Non-renewable energy is energy that is depleted with use, such as fossil fuels (oil, natural gas, and coal). They are formed from organic matter that decomposed millions of years ago and was transformed by the pressure and temperature of the Earth's layers.
GDP per capita is a measure of a country's Gross Domestic Product divided by its population. It is widely used to compare the level of wealth and well-being among countries, as it takes into account the size of the country's population. GDP per capita is usually expressed in terms of international dollars, which allows for direct comparisons between countries with different currencies. Countries with a high GDP per capita tend to have a more developed economy and a population with a higher level of income and well-being. On the other hand, countries with a low GDP per capita tend to have a less developed economy and a population with a lower level of income and well-being.
Internal credit to the private sector is an economic indicator that measures the volume of financing that financial institutions, such as banks and credit companies, provide to private companies to finance their activities. This type of credit is an important source of financing for companies because it allows them to invest in new projects, expand their operations, and hire more employees. Internal credit to the private sector can also be an indicator of investors' confidence in the economy and private companies.
Total population is the number of inhabitants of a country, region, or city. It is an important indicator for assessing the capacity of a place to support the demand for services and infrastructure, as well as for assessing pressure on natural resources and environmental impact. Population can also affect economic growth, as an increase in population can increase the supply of labor and, therefore, economic production.
In this analysis, the dynamic panel data structural model (ANDRADE; TIRYAKI, 2017), with fixed effects, estimated by Maximum Likelihood, was used. Path analyses were conducted in all situations using the system of equations to estimate the direct and indirect effects of the explanatory variables on the dependent variable. The equations relating the dependent and independent variables are as described in the formulas below:
$$
\mathrm{emi}_{\mathrm{c}} = \mathrm{en}_{\mathrm{r}} + \mathrm{en}_{\mathrm{nr}} + \mathrm{emi}_{\mathrm{c}} 1 + \mathrm{pop}_{\mathrm{c}} + \mathrm{gdp}_{\mathrm{c}} + \mathrm{cre}_{\mathrm{c}} + \mathrm{err}o
$$
$$
en_{nr}=gdp_{c}+pop_{c}+emi_{c}1+errc
$$
$$
gdp_{c}=cre_{c}+pop_{c}+erro
$$
In the regression estimation, a characteristic aspect of structural modeling is observed because, in the model, the variables denoted as emi_c, en_NR, and gdp_c appear as the independent variables. While en_NR and gdp_c appear both as dependent and independent variables. In contrast, emi_c_1, en_r, pop_c, and cre_c form the dependent variables of the model. All analyses were performed using natural logarithm values, through the RStudio software (ROSSEEL, 2012).
## IV. PRESENTATION AND ANALYSIS OF RESULTS
The results of the dynamic panel data structural model with fixed effects are shown in Table 1. All variables were transformed into natural logarithm annual values, for the period from 2010 to 2021, for 69 countries. The estimated standardized coefficients are significant at the $1\%$ level.
The variable carbon dioxide emissions is classified as endogenous, while the variables nonrenewable energy and GDP per capita are presented as both endogenous and exogenous simultaneously. Only as exogenous are observed the variables: renewable energy, carbon dioxide emissions in (t-1), total population, and domestic credit to the private sector.
Table 1: Standardized Coefficients of the Structural Model for the Period from 2010 to 2021
<table><tr><td colspan="2">Variables</td><td rowspan="2">Coefficients</td><td rowspan="2">Z-test</td><td rowspan="2">P-value</td><td colspan="2">Confidence Interval</td></tr><tr><td>Endogenous</td><td>Exogenous</td><td>Lower</td><td>Upper</td></tr><tr><td>emi_c</td><td></td><td></td><td></td><td></td><td></td><td></td></tr><tr><td></td><td>en_r</td><td>-0,124</td><td>-5,301</td><td>0,000</td><td>-0,170</td><td>-0,078</td></tr><tr><td></td><td>en_nr</td><td>0,202</td><td>8,725</td><td>0,000</td><td>0,157</td><td>0,248</td></tr><tr><td></td><td>emi_c_1</td><td>0,528</td><td>22,508</td><td>0,000</td><td>0,482</td><td>0,574</td></tr><tr><td></td><td>pop_c</td><td>0,206</td><td>8,972</td><td>0,000</td><td>0,161</td><td>0,251</td></tr><tr><td></td><td>gdp_c</td><td>0,180</td><td>7,840</td><td>0,000</td><td>0,135</td><td>0,225</td></tr><tr><td></td><td>cre_c</td><td>0,132</td><td>5,508</td><td>0,000</td><td>0,085</td><td>0,179</td></tr><tr><td>en_nr</td><td></td><td></td><td></td><td></td><td></td><td></td></tr><tr><td></td><td>gdp_c</td><td>-0,135</td><td>-4,224</td><td>0,000</td><td>-0,198</td><td>-0,073</td></tr><tr><td></td><td>pop_c</td><td>-0,229</td><td>-7,012</td><td>0,000</td><td>-0,293</td><td>-0,165</td></tr><tr><td></td><td>emi_c_1</td><td>0,341</td><td>10,998</td><td>0,000</td><td>0,281</td><td>0,402</td></tr><tr><td>gdp_c</td><td></td><td></td><td></td><td></td><td></td><td></td></tr><tr><td></td><td>cre_c</td><td>-0,327</td><td>-10,842</td><td>0,000</td><td>-0,386</td><td>-0,268</td></tr><tr><td></td><td>pop_c</td><td>0,124</td><td>3,838</td><td>0,000</td><td>0,061</td><td>0,188</td></tr></table>
The estimation of coefficients for the endogenous variable CO2 emissions is as follows: renewable energy indicates a negative coefficient of 0.124, with a confidence interval ranging from 0.078 to 0.170; non-renewable energy indicates a positive coefficient of 0.202, with a confidence interval ranging from 0.157 to 0.248; CO2 emissions in (t-1) indicates a positive coefficient of 0.528, with a confidence interval ranging from 0.482 to 0.574. Total population indicates a positive coefficient of 0.206 with a confidence interval ranging from 0.161 to 0.251; GDP per capita indicates a positive coefficient of 0.180, with a confidence interval ranging from 0.135 to 0.225; domestic credit to the private sector indicates a positive coefficient of 0.206, with a confidence interval ranging from 0.161 to 0.251.
The estimation of coefficients for the endogenous variable non-renewable energy is as follows: GDP per capita indicates a negative coefficient of 0.135, with a confidence interval ranging from 0.073 to 0.198; total population indicates a negative coefficient of 0.229, with a confidence interval ranging from 0.165 to 0.293; CO2 emissions in (t-1) indicates a positive coefficient of 0.341, with a confidence interval ranging from 0.281 to 0.402.
The estimation of coefficients for the endogenous variable GDP per capita is as follows: domestic credit to the private sector indicates a negative coefficient of 0.327, with a confidence interval ranging from 0.268 to 0.386; total population indicates a positive coefficient of 0.124, with a confidence interval ranging from 0.061 to 0.188.
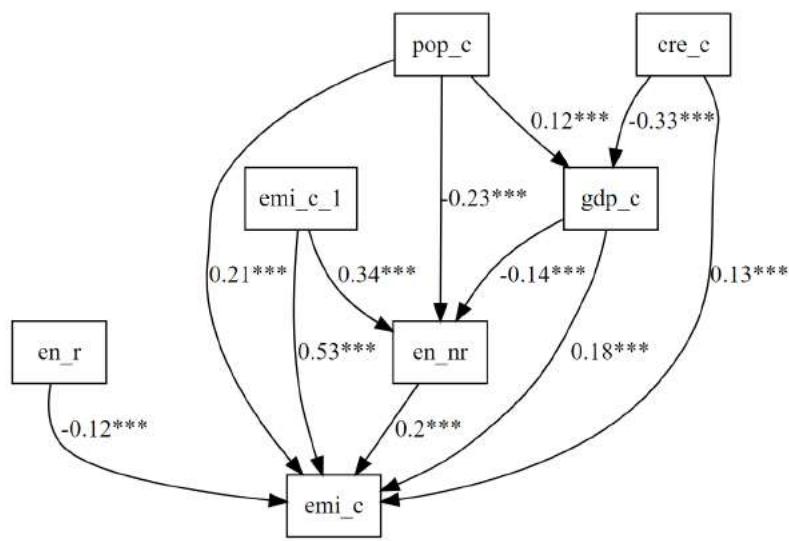
The Structural Model Path Analysis diagram (Figure 1) illustrates the proposed relationships in this thesis. Structured by path analysis, based on the theoretical framework, under the magnitude of direct and indirect effects among the dimensions presented for this stage of the results.
The results demonstrate that renewable energy has a direct and negative impact on CO2 emissions. This means that a $1\%$ increase in renewable energy significantly reduces carbon dioxide emissions by $0.12\%$. Consistent with previous research, such as the findings estimated by Cao et al. (2022), Belucio et al. (2022), and Samour, Moyo, and Tursoy (2022).
Renewable energy sources do not produce carbon dioxide emissions when used to generate energy because they do not rely on the combustion of fossil fuels. Instead, renewable energy sources utilize natural processes such as sunlight, wind, and water flow to generate energy.
The results for non-renewable energy show a direct and positive impact on CO2 emissions. This means that a $1\%$ increase in non-renewable energy will significantly increase carbon dioxide emissions by $0.2\%$. Consistent with previous research such as the findings estimated by Sadiq et al. (2022), Rasheed et al. (2022), and Chu and Le (2022).
In this context, institutional theory highlights that institutions, including governments and businesses, play a crucial role in shaping policies and incentives that influence the adoption of renewable energy sources. For example, government policies promoting renewable energy sources such as solar and wind energy, and business practices investing in clean energy sources, contribute to the reduction of CO2 emissions.
 Source: Research Findings (2022) Figure 1: Structural Graph of the Dynamic Panel Model with Fixed Effects Estimated by Maximum Likelihood.
According to Sadiq et al. (2022), non-renewable energies such as oil, natural gas, and coal are energy sources produced from finite natural resources that, once consumed, cannot be reused. When these fuels are burned to produce energy, they release carbon dioxide into the atmosphere.
Rasheed et al. (2022) state that the increasing use of non-renewable energy is particularly related to countries with a large economy and a developed industrial sector; to countries with a rapidly growing economy and an expanding industrial sector; and to countries with a diversified economy and a developed energy sector but heavily rely on fossil fuels to generate energy.
According to institutional theory, government policies favoring the use of non-renewable energy sources due to their availability and low cost, and the lack of incentives for the adoption of renewable energy sources, contribute to the increase in CO2 emissions.
The results for CO2 emissions (t-1) show a direct and positive impact on CO2 emissions. This means that a $1\%$ increase in CO2 emissions (t-1) will increase carbon dioxide emissions by $0.53\%$. Consistent with findings in Azevedo, Sartori, and Campos (2018). For example, as the CO2 emissions (t-1) of a country increase, the amount of CO2 released into the atmosphere is affected.
Similarly, CO2 emissions (t-1) show an indirect and positive impact on CO2 emissions through the path emi_c_1 => en_NR => emi_c. This means that a 1% increase in CO2 emissions (t-1) will increase carbon dioxide emissions by 0.34%. It is observed that the volume of CO2 emissions (t-1) influences the volume of CO2 emitted, confirming that CO2 emissions were a variable explained by its lagged value one year earlier.
According to Chu and Le (2022), fossil fuels, including coal, oil, and natural gas, are energy sources that are not replenished on a human timescale. Oil and natural gas are used for transportation and electricity generation, while coal, the most carbon-intensive fossil fuel, accounts for a significant portion of global energy consumption. When these energy sources are burned, they release CO2 into the atmosphere as a byproduct, resulting in an exponential growth trend of CO2 emissions.
The results for the total population show a direct and positive impact on CO2 emissions. This means that a $1\%$ increase in the total population will increase carbon dioxide emissions by $0.21\%$. Additionally, an indirect and positive influence of the total population through GDP per capita on CO2 emissions was observed through the path pop_c => gdp_c => emi_c. This means that a $1\%$ increase in the total population will increase carbon dioxide emissions by $0.12\%$. Consistent with the findings of D'Orazio and Dirks (2022) and Kouyakhi (2022).
According to D'Orazio and Dirks (2022), this occurs because larger populations consume more energy, which remains a significant source of CO2 emissions. Additionally, larger populations often require more infrastructure and development, which positively affects their contribution to CO2 emissions.
On the other hand, the total population has an indirect and negative impact on CO2 emissions through the path pop_c => en_NR => emi_c. This means that a 1% increase in the total population will decrease carbon dioxide emissions by 0.23%. Consistent with the findings of Ghosh (2022) and Raza (2022). According to Ghosh (2022), it is not common for the population size to increase while CO2 emissions decrease. However, it is possible that other factors lead to a decrease in CO2 emissions despite an increase in population size. Raza (2022) states that a country with a growing population may also be implementing policies or technologies designed to reduce CO2 emissions, or even relying on population awareness to adopt sustainable measures aimed at reducing CO2 emissions.
Thus, institutional theory highlights the importance of institutions, such as governments and companies, in shaping behaviors and energy policies that affect CO2 emissions. For example, government policies incentivizing renewable energy sources and corporate practices aimed at reducing CO2 emissions can contribute to emission reduction relative to population size.
In contrast, the total population has an indirect and positive impact on CO2 emissions through the path pop_c => gdp_c => emi_c. This means that a $1\%$ increase in the total population will increase carbon dioxide emissions by $0.12\%$. Consistent with the findings of Zhao et al. (2022) and Khan and Yahong (2022). It confirms the indirect effect of the total population in explaining carbon dioxide emissions.
According to Zhao et al. (2022), the relationship between population size and CO2 emissions is complex and varies significantly depending on the specific circumstances of a particular country or region. Population size also indirectly impacts CO2 emissions through its effects on other factors influencing CO2 emissions. For example, population growth leads to urbanization, which increases demand for transportation and contributes to higher CO2 emissions from the transportation sector.
The results of GDP per capita show a direct and positive impact on CO2 emissions. This means that a $1\%$ increase in GDP per capita will increase carbon dioxide emissions by $0.18\%$. Consistent with research conducted by Zahoor, Khan, and Hou (2022); Baloch (2022); and Rehman et al. (2022). One reason for this relationship is that higher GDP per capita is often accompanied by increased energy consumption and resource use, leading to higher CO2 emissions.
In the case of an increase in GDP per capita, this leads to an increase in energy demand and, consequently, higher CO2 emissions. Additionally, according to institutional theory, the lack of clear regulations and incentives for emission reduction leads to a persistence in dependence on dirty and nonrenewable energy sources.
According to Baloch (2022), the extraction, processing, and transportation of raw materials contribute to CO2 emissions. Another aspect, as noted by Zahoor, Khan, and Hou (2022), is that higher GDP per capita is associated with increased consumption, and this relationship contributes to higher CO2 emissions through the production, transportation, and disposal of goods and services.
On the other hand, GDP per capita has an indirect and negative impact on CO2 emissions through the path $\text{gdp\_c} = > \text{en\_nr} = > \text{emi\_c}$. This means that a 1% increase in GDP per capita will decrease carbon dioxide emissions by $0.14\%$. Divergent from the results estimated by Avenyoe and Tregenna (2022), Zhao et al. (2022), and Hamid et al. (2022).
In this context, institutional theory emphasizes that an increase in GDP per capita in a country, associated with a shift in energy priorities and an increase in energy efficiency, results in a reduction in greenhouse gas emissions. However, it is important to note that an increase in GDP per capita is not a guarantee of a reduction in CO2 emissions, as there may be economic and institutional factors sustaining environmentally harmful behaviors.
However, according to Yang et al. (2022), GDP per capita has a dual effect on carbon dioxide emissions; this dual effect establishes a negative relationship between GDP per capita and CO2 emissions. As GDP per capita increases, a shift towards more energy-efficient technologies and practices is observed. For example, the adoption of energy-efficient appliances, buildings, and transportation systems helps reduce energy consumption and CO2 emissions.
In line with Belucio et al. (2022), the growth of GDP per capita prompts inhabitants of countries to make eminent efforts to conserve resources and reduce waste, which also contributes to decreasing CO2 emissions. For instance, the adoption of recycling and reuse programs helps reduce the demand for raw materials, thereby reducing CO2 emissions associated with the extraction, processing, and transportation of raw materials and waste.
According to Han et al. (2022), another important aspect of higher GDP per capita is the accompanying influence on changes in consumer behavior, which contribute to reducing CO2 emissions. For example, increased awareness of environmental issues leads to more sustainable consumption patterns, such as the adoption of low CO2-producing transportation modes and the purchase of environmentally friendly sustainable products.
The results of Private Sector Domestic Credit present a direct and positive impact on CO2 emissions. This means that a $1\%$ increase in Private Sector Domestic Credit will increase carbon dioxide emissions by $0.13\%$. Consistent with results found by Aljadani (2022) and Obuobi et al. (2022). The relationship between these two variables will depend on how credit is utilized and how the economy in question is structured.
Therefore, institutional theory argues that financial incentives, such as low-interest rates offered by banks to CO2-emitting companies, lead to higher greenhouse gas emissions. Additionally, the lack of adequate regulation in the financial sector contributes to the continuation of environmentally harmful behaviors.
Obuobi et al. (2022) states that the increase in private sector domestic credit tends to increase CO2 emissions in several ways. First, the increased credit enables an increase in demand for goods and services, which results in increased production and consequently, CO2 emissions. Furthermore, the increase in credit leads to higher investment in economic activities that generate high CO2 emissions, such as the construction of transportation infrastructure. Finally, the increase in credit under certain circumstances results in higher asset prices and consequently encourages the extraction of natural resources in more CO2-intensive ways, such as mining.
On the other hand, Private Sector Domestic Credit has an indirect and negative impact on CO2 emissions through the pathway cre_c => gdp_c => en_NR => emi_c. The indirect pathway through GDP per capita and non-renewable energy indicates that a 1% increase in Private Sector Domestic Credit will decrease carbon dioxide emissions by 0.33%. Consistent with results found by D'Orazio and Dirks (2022) and Avenyo and Tregenna (2022).
In this context, institutional theory advocates for changes in financial regulations, such as incentives for investments in renewable energies and penalties for CO2-emitting companies, which result in a reduction in greenhouse gas emissions. Furthermore, the theory may point to the importance of more sustainable financial practices and the influence of investors and customers demanding more environmentally responsible behaviors.
According to D'Orazio and Dirks (2022), private sector domestic credit plays an important role in the economic growth of a country as it enables companies and individuals to obtain financing for investment in projects and expand their activities. Thus, when private sector domestic credit is aimed at encouraging innovation and technological change, it favors a reduction in CO2 emissions. Therefore, it will depend on how credit is used by companies and how it affects energy use and greenhouse gas emissions. Additionally, the role of individual actions in reducing CO2 emissions must also be considered.
Similarly, Private Sector Domestic Credit has an indirect and negative impact on CO2 emissions through the pathway cre_c => gdp_c => emi_c. The indirect pathway through GDP per capita also indicates that a 1% increase in Private Sector Domestic Credit will decrease carbon dioxide emissions by 0.33%. Consistent with results found by D'Orazio and Dirks (2022) and Aveno and Tregenna (2022).
However, the relationship between private sector domestic credit and CO2 emissions will depend on many factors. In line with Avenyo and Tregenna (2022), GDP per capita and private sector domestic credit affect CO2 emissions directly or indirectly, depending on the economic structure of a country and the technology used in the production process. Some examples of how private sector domestic credit contributes to reducing CO2 emissions include investments in more efficient technologies, renewable energy projects, and energy efficiency measures.
In the perspective of institutional theory, norms and regulations are key elements in shaping the behaviors and practices of organizations and individuals. They establish expectations and guidelines for actions, providing incentives and sanctions for desired behavior. In the case of greenhouse gas emissions, norms and regulations can incentivize the reduction of these emissions through policies and programs for energy conservation, use of renewable energy sources, and other initiatives to mitigate the impact of climate change.
It is understood in this context that regulations can impose sanctions on companies that fail to meet emission reduction targets, encouraging them to adopt more sustainable practices. Therefore, institutional theory views norms and regulations as important elements for influencing the behavior of organizations and individuals regarding CO2 emissions.
## V. FINAL CONSIDERATIONS
According to the presented research, the following conclusions are drawn: a) the consumption of renewable energy has a direct and negative impact on carbon dioxide emissions; b) the consumption of nonrenewable energy directly and positively affects CO2 emissions; c) the lagged CO2 emissions have a dual effect, but it positively impacts both directly and indirectly on CO2 emissions;
d) GDP per capita and private sector internal credit have a dual effect on CO2 emissions, being positive directly and negative indirectly for both; e) the population has a triple effect on CO2 emissions, with a direct positive effect, a positive indirect effect, and a negative indirect effect.
Highlighted is the significant effect of the relationship between non-renewable energy consumption and carbon emission, as a result of human activities such as burning dirty energy in industrial production, agriculture, and other processes. This is justified due to the excessive dependence on traditional fossil fuel energy by most countries, as the use of this type of energy leads to increased CO2 emissions into the atmosphere.
Regarding the effect of the relationship between renewable energy consumption and carbon emission, it is concluded that renewable energy consumption directly and negatively affects CO2 emissions. This is justified by its being an inexhaustible source of energy generated from natural resources that renew continuously, such as the sun, wind, tides, and biomass. Therefore, transitioning to an energy matrix based on renewable sources significantly contributes to reducing CO2 emissions and preserving the environment.
Regarding the causal relationship between economic growth and carbon emission, GDP per capita has a dual effect. First, it directly and positively affects
CO2 emissions. This magnitude is primarily justified due to the increase in energy consumption necessary to sustain economic growth. Second, GDP per capita indirectly and negatively affects CO2 emissions. This is justified by technological advancements associated with energy efficiency and factors such as behavioral changes among people.
Similarly, a dual effect on carbon emission is also identified for private sector internal credit: firstly, private sector internal credit directly and positively affects CO2 emissions, as an increase in credit in sectors that raise demand for goods, services, or consumer goods contributes to increased production. Conversely, by driving economic growth through GDP, private sector internal credit indirectly impacts carbon emission negatively. This is justified because credit investment in sectors aimed at promoting innovation and technological changes.
On the other hand, CO2 emissions (t-1) have a dual effect, with a direct and positive impact and an indirect and positive impact on carbon dioxide emission. This relationship is justified because as the CO2 emissions (t-1) of a country increase, the amount of CO2 released into the atmosphere is affected.
In the analysis perspective, a triple effect in the relationship between total population and CO2 emissions is confirmed. Firstly, it is concluded that the population directly and positively affects carbon dioxide emissions. This is justified due to the increased demand for transportation, products, and energy; as the population size increases, there is a greater need for infrastructure and industrialized products. Secondly, it is concluded that the total population has an indirect and positive impact on CO2 emissions through the path of GDP per capita. This is justified because as a significant portion of the population in countries engages in economic activities, CO2 emissions are likely to increase. Thirdly, it is concluded that the total population has an indirect and negative impact on CO2 emissions through the path of non-renewable energy. This is primarily justified by the rational use of energy and ecological awareness among the population when adopting sustainable measures.
Based on the presented results, several institutional suggestions stand out: the creation of norms and regulations that encourage the use of renewable energy sources, such as solar panels and wind turbines, to reduce CO2 emissions; financial incentives, such as subsidies and tax credits, to promote the use of clean energy sources and make renewable energy sources more accessible and attractive to companies and consumers; investments in research and development to increase the efficiency and competitiveness of clean energy sources and make renewable energy sources economically viable and therefore widely used; establishment of energy efficiency standards for buildings and vehicles, which contribute to changes in consumption patterns towards renewable energy sources.
Therefore, it is proposed that governments and the general population adopt measures related to the development of alternative energy technologies to promote energy efficiency, especially in industries, buildings, and transportation. Additionally, investing in education, incentivizing behavioral changes, and raising awareness among the population about the impact of CO2 emissions are considered important.
As a strategy to reduce CO2 emissions, the implementation of carbon policies, such as the carbon market, to incentivize emission reductions and investment in carbon capture and storage technologies is highlighted. However, it is worth noting that these measures should be implemented in a balanced manner, taking into account the economic and social needs of each country. Furthermore, the involvement of universities and research centers in this process is crucial to finding systemic solutions to this issue.
Regarding the limitations of the present study, the restricted temporal dimension is mentioned, meaning the lack of complete and precise data; as a result, certain countries were excluded from the analysis. Furthermore, some of these limitations include the difficulty in comparing countries, as CO2 emissions are affected by many factors such as the size of the country, the type of economy, and the level of development, which make a precise comparison of CO2 emissions between countries challenging. Another important aspect relates to the complex interactions among variables that impact and affect CO2 emissions.
Regarding future prospects, it is suggested to add more variables to study the factors influencing CO2 emissions, not only at the macro level, analyzing trends in CO2 emissions globally, regionally, or nationally, but also at the micro level, including identifying key emission sources and evaluating policies and programs to reduce them. Another suggestion for future studies relates to the climatic effects resulting from CO2 emissions, as well as their impacts on human health and ecosystems.
Generating HTML Viewer...
References
34 Cites in Article
R Abramovay (2012). Muito além da economia verde.
Abdussalam Aljadani (2022). Assessment of financial development on environmental degradation in KSA: how technology effect?.
C Andrade,G Tiryaki,Econometria Na Prática (2017). Unknown Title.
Elvis Avenyo,Fiona Tregenna (2022). Greening manufacturing: Technology intensity and carbon dioxide emissions in developing countries.
M Baloch (2022). The nexus between renewable energy, income inequality, and consumption-based CO2 emissions: An empirical investigation.
M Belucio (2022). The impact of natural gas, oil, and renewables consumption on carbon dioxide emissions: european evidence.
Huimin Cao,Muhammad Khan,Abdul Rehman,Vishal Dagar,Bahareh Oryani,Arifa Tanveer (2022). Impact of globalization, institutional quality, economic growth, electricity and renewable energy consumption on Carbon Dioxide Emission in OECD countries.
Lan Chu,Ngoc Le (2022). Environmental quality and the role of economic policy uncertainty, economic complexity, renewable energy, and energy intensity: the case of G7 countries.
Tatiana Cortese,G Natalini (2014). Mudanças climáticas na cidade de São Paulo: avaliação da política pública municipal.
P Dimaggio,W Powell (1983). The iron cage revisited: Institutional isomorphism and collective rationality in organizational fields.
Orazio,P Dirks,M (2022). Exploring the effects of climate-related financial policies on carbon emissions in G20 countries: a panel quantile regression approach.
Lucilene Cury,Paulo De Sousa,Victória Kudeken (2007). PROPOSTA DE CURSO NA MODALIDADE EAD - INTRODUÇÃO À PESQUISA CIENTÍFICA A PARTIR DA DISCIPLINA TEORIA E MÉTODO DE PESQUISA EM COMUNICAÇÃO DA ECA/USP.
Sudeshna Ghosh (2022). Effects of tourism on carbon dioxide emissions, a panel causality analysis with new data sets.
Ishfaq Hamid,Md Alam,Asma Kanwal,Pabitra Jena,Muntasir Murshed,Risana Alam (2022). Decarbonization pathways: the roles of foreign direct investments, governance, democracy, economic growth, and renewable energy transition.
Itbar Khan,Lei Han,Robeena Bibi,Hayat Khan (2022). Linking natural resources, innovations, and environment in the Belt and Road Initiative countries using dynamic panel techniques: the role of innovations and renewable energy consumption.
N Kouyakhi (2022). CO2 emissions in the Middle East: decoupling and decomposition analysis of carbon emissions, and projection of its future trajectory.
Jacques Marcovitch (2007). Mudanças climáticas e multilateralismo.
John Meyer,Brian Rowan (1977). Institutionalized Organizations: Formal Structure as Myth and Ceremony.
Richard Millar,Pierre Friedlingstein (2018). The utility of the historical record for assessing the transient climate response to cumulative emissions.
B Obuobi (2022). Renewable energy demand, financial reforms, and environmental quality in West Africa.
Walter Powell,Jeannette Colyvas (2008). Microfoundations of Institutional Theory.
Lavanya Rajamani,Jacob Werksman (2018). The legal character and operational relevance of the Paris Agreement's temperature goal.
Muhammad Rasheed,Abdul Haseeb,Tomiwa Adebayo,Zahoor Ahmed,Mahmood Ahmad (2022). The long-run relationship between energy consumption, oil prices, and carbon dioxide emissions in European countries.
M Raza (2022). Towards a sustainable development: econometric analysis of energy use, economic factors, and CO2 emission in Pakistan during 1975-2018.
Abdul Rehman,Hengyun Ma,Ilhan Ozturk,Recep Ulucak (2022). Sustainable development and pollution: the effects of CO2 emission on population growth, food production, economic development, and energy consumption in Pakistan.
Yves Rosseel (2012). <b>lavaan</b>: An<i>R</i>Package for Structural Equation Modeling.
M Sadiq (2022). Does sustainable environmental agenda matter? The role of globalization toward energy consumption, economic growth, and carbon dioxide emissions in South Asian countries.
Ahmed Samour,Delani Moyo,Turgut Tursoy (2022). Renewable energy, banking sector development, and carbon dioxide emissions nexus: A path toward sustainable development in South Africa.
W Scott (2008). W. Richard SCOTT (1995), Institutions and Organizations. Ideas, Interests and Identities..
Pamela Tolbert,Lynne Zucker (1999). The Institutionalization of Institutional Theory.
Richard Kinley (2021). Mission: Adoption with Ovations: The Contribution of the UNFCCC Secretariat to the Achievement of the Paris Agreement.
(2022). World Development Indicator.
Zahid Zahoor,Irfan Khan,Fujun Hou (2022). Clean energy investment and financial development as determinants of environment and sustainable economic growth: evidence from China.
H Zhao (2022). Determinants of carbon dioxide emissions and their peaking prospect: evidence from China.
No ethics committee approval was required for this article type.
Data Availability
Not applicable for this article.
How to Cite This Article
João Pedro Velho. 2026. \u201cCO2: A Contemporary Analysis of the Impact of Economic Growth and Energy on Carbon Dioxide Emissions\u201d. Global Journal of Human-Social Science - B: Geography, Environmental Science & Disaster Management GJHSS-B Volume 24 (GJHSS Volume 24 Issue B3).
Explore published articles in an immersive Augmented Reality environment. Our platform converts research papers into interactive 3D books, allowing readers to view and interact with content using AR and VR compatible devices.
Your published article is automatically converted into a realistic 3D book. Flip through pages and read research papers in a more engaging and interactive format.
Our website is actively being updated, and changes may occur frequently. Please clear your browser cache if needed. For feedback or error reporting, please email [email protected]
Thank you for connecting with us. We will respond to you shortly.