This paper explores the growing threat of fake news and disinformation in the digital era, particularly in the European context. It combines an extensive literature review with primary data from two online surveys conducted in Hungary, focusing on media literacy, perceived risk of misinformation, and its influence on attitudes toward EU-level policies, such as the European Green Deal. The study reveals notable generational and educational disparities in media competence and public trust. Findings indicate that frequent political news consumers are more likely to perceive fake news as a threat to climate policy and governance. The paper concludes that misinformation poses not only a media problem but also a challenge to democratic institutions, public health, economic stability, and societal cohesion, requiring robust policy and educational responses.
## I. INTRODUCTION
In the past fifteen years, the global information environment has undergone a profound transformation. Public discourse is increasingly shaped by so-called "fake news" [1] and related forms of disinformation and misinformation [2]. The emergence of the so-called "post-truth" era- where emotional appeals and personal beliefs outweigh objective facts in influencing public opinion- has prompted growing concern across academic, political, and media spheres [3] [11]. The term "post-truth" was named the Oxford Dictionary's Word of the Year in 2016, reflecting the communicative climate surrounding events such as the Brexit referendum and the U.S. presidential election.
This phenomenon, however, extends far beyond media ethics or technological development [4]. It poses significant economic, societal, and national security challenges, demanding interdisciplinary attention [5]. This paper offers a comprehensive analysis of the definitions and typologies of fake news and misinformation, their economic and social consequences [8], and their implications for national and international security [6] [7]. Special focus is given to emerging tensions between cities and states (including within the European Union) and their broader geopolitical and security relevance [7].
To better understand how Hungarian citizens engage with media content and assess their level of media literacy- particularly in relation to fake news- an online questionnaire was conducted as part of this study. The survey aimed to evaluate respondents' awareness of disinformation [12], their critical thinking habits when consuming digital content, and their capacity to distinguish between trustworthy and misleading information sources [10] [13].
Environmental sustainability [14] [15] and competitiveness [16] [17] are also examined as cross-cutting issues[9]. The analysis spans the period from 2010 to 2025 and focuses on Europe and the global landscape, supported by case studies from Hungary.
## II. UNDERSTANDING THE NATURE AND IMPACT OF FAKE NEWS
Fake news, traditionally defined as deliberately misleading or entirely fabricated information presented in the guise of legitimate news, has long served as a tool for propaganda, supporting specific (often false) narratives. Historically, such misinformation was disseminated by powerful entities aiming to influence public opinion. However, the advent of the digital age, particularly the rise of social media post-2010, has dramatically transformed the landscape of fake news production and distribution. Today, virtually anyone can disseminate false claims to mass audiences via the internet and social platforms; even automated programs (bots) can publish misleading content en masse [20][26].
The motivations behind spreading fake news are diverse- ranging from political influence and economic gain (e.g., clickbait advertising revenue) to mere attention-seeking. Notably, the term "fake news" itself became a political tool in the latter half of the 2010s, with leaders like Donald Trump labeling unfavorable yet factual news as "fake," further complicating the term's meaning and public perception
[21] [28]. Despite this, scholarly consensus suggests retaining the original definition: intentionally false or misleading news, distinguishing it from mere inaccuracies. This distinction leads to the categorization of disinformation as the deliberate spread of false information (encompassing fake news), while misinformation refers to the unintentional dissemination of incorrect information [22]. Additionally, malinformation involves the deliberate misuse of truthful information to cause harm or mislead- such as releasing sensitive facts out of context to discredit an individual. These categories help clarify the nature of various "fake news" phenomena.
Regarding specific genres of fake news, researchers have identified several types. In a widely cited study, Tandoc et al. (2018) delineated six primary categories:
1. Nnews satire, which distorts through humor or exaggeration (e.g., articles from The Onion or Hírcsárda intended for entertainment but sometimes misconstrued as factual on social media);
2. News parody, similar to satire but often mimicking known news formats playfully;
3. fabrication, entirely invented news without any factual basis;
4. Manipulation, including deliberately altered or out-of-context images or videos that create misleading impressions;
5. Advertising or PR disguised as independent news, such as paid advertisements or propaganda presented as unbiased reporting;
6. Political propaganda, which may contain true or false elements but fundamentally aims to disseminate a manipulative political message (e.g., spreading conspiracy theories for political gain) [6].
These categories often overlap, and in practice, a disinformation campaign may employ multiple tactics. Nonetheless, this typology underscores that "fake news" encompasses more than entirely fabricated stories- it includes any media content that deceptively blends truth and falsehood to manipulate audiences.
## III. ECONOMIC AND SOCIETAL CONSEQUENCES OF Fake News
The proliferation of fake news and disinformation is not merely a theoretical concern; it inflicts tangible economic and societal harm. Socially, one of the most severe impacts is the manipulation of public opinion and the erosion of trust. Fake news often aims to alter individuals' views or behaviors, aligning them with the political or economic interests of the disseminators. When audiences fall for false information, they effectively cede their capacity for independent, fact-based decision-making to disinformers-jeopardizing citizens' ability to make informed choices [22].
Moreover, the spread of misinformation exacerbates societal divisions: targeted fake news can reinforce existing prejudices, evoke strong emotional reactions (e.g., anger, fear), polarize public opinion, and undermine social cohesion [19][27].
The period from 2010 to 2025 offers numerous examples. During the 2016 U.S. presidential election campaign, political fake news spread on social media at unprecedented levels. Subsequent analyses revealed that widely shared false stories garnered more engagement than the most-read legitimate news articles [20]. These false narratives contributed to voter polarization and the deterioration of political discourse, ultimately diminishing democratic quality and public trust in governance. Similarly, in Europe, the Brexit campaign was accompanied by a deluge of fake news, including demonstrably false claims (e.g., that EU membership costs the UK £350 million per week, which would be redirected to the NHS upon leaving) that influenced public opinion [21] [28]. Decisions based on such misconceptions can lead to societal disillusionment when reality fails to meet the expectations set by false promises.
Disinformation also adversely affects communities' mental and physical well-being. A pertinent example is the COVID-19 "infodemic": the 2020 pandemic was accompanied by an overwhelming amount of misinformation, ranging from conspiracy theories (e.g., the virus was deliberately created) to pseudoscientific "miracle cures" (e.g., unwarranted use of certain medications) and anti-vaccine propaganda [18] [20] [29]. The World Health Organization (WHO) warned early in the pandemic that "we're not just fighting an epidemic; we're fighting an infodemic." The consequences were evident: many, influenced by false news, downplayed the virus's dangers, disregarded public health measures, or rejected vaccination. Consequently, some countries experienced lower vaccination rates, leading to preventable deaths and prolonged economic shutdowns. Thus, fake news can directly cost lives and health: it hampers effective pandemic response, heightens public fear and anxiety, and, in extreme cases, creates direct physical dangers (e.g., individuals ingesting toxic substances touted online as "cures") [27]. From a mental health perspective, continuous exposure to disinformation weakens the sense of security, complicates reality comprehension, and fosters frustration and helplessness- ultimately eroding faith in democratic institutions [21][22][28].
The economic damages are equally significant. Fake news undermines competitiveness and causes substantial financial losses, both directly and indirectly. A 2019 analysis quantified the global economic costs of disinformation. According to the study, fake news-induced stock market disruptions result in approximately $39 billion in annual losses, with an additional $17 billion lost due to poor investment decisions stemming from misinformation [24] [25]. Furthermore, large corporations spend around $9.5 billion annually to protect and restore their reputations following disinformation attacks [30]. Notably, the healthcare and environmental sectors incur significant expenses: combating anti-vaccine and climate change-denying fake news, along with addressing the resultant damages, requires approximately $9 billion globally [18] [25] [30].
## VI. METHODOLOGY
This research employs a mixed-method approach combining an extensive literature review with quantitative data analysis from two original surveys conducted in Hungary in early 2025. The primary aim was to investigate the perceived threat of fake news and its impact on public attitudes toward the European Green Deal, media literacy levels, and demographic variances in media engagement.
The first dataset- Fake News and Disinformation Survey- targeted participants 'general attitudes toward misinformation, their evaluation of the danger posed by fake news across various domains, and their media consumption habits. The second dataset- European Green Deal and Misinformation- explored how respondents perceived misinformation as a threat to EU climate policy initiatives and sustainability frameworks.
A total of 370 respondents participated in the surveys, collected via online forms. The sample, while limited, included a diverse demographic composition based on age, education level, residence type (urban/ rural), and media usage patterns.
Data were analyzed using SPSS 28. The following statistical tools and procedures were applied:
- Descriptive Statistics: Frequencies, means, and standard deviations were used to summarize the respondents 'demographic characteristics' and overall responses.
- Chi-square Tests $(\chi^2)$: Used to examine the association between categorical variables (e.g., education level and perceived risk of disinformation).
- Pearson Correlation Coefficient (r): Applied to measure the strength and direction of the relationship between political news consumption frequency and perceived fake news threat to the European Green Deal.
- One-way ANOVA: Conducted to assess statistically significant differences in risk perception across different demographic groups.
The chi-square statistic is defined as:
$$
\chi^ {2} = \Sigma [ (O _ {i} - E _ {i}) ^ {2} / E _ {i} ]
$$
Where $O_{i}$ is the observed frequency and $E_{i}$ is the expected frequency.
Pearson's correlation coefficient is calculated as:
$$
r = \Sigma \left[ (x _ {i} - \bar {x}) (y _ {i} - \bar {y}) \right] / \sqrt {\left[ \Sigma (x _ {i} - \bar {x}) ^ {2} \Sigma (y _ {i} - \bar {y}) ^ {2} \right]}
$$
Where $x_{i}$ and $y_{i}$ are the individual data points and $x^{-}$ and $\bar{y}$ are their respective means.
The Pearson correlation coefficient (r) was used to measure the strength and direction of the linear relationship between two variables. The value of the Pearson correlation can range from -1 to +1, where a value of 0 indicates no linear relationship. The correlation coefficient can be calculated using the following formula:
$$
r = \Sigma [ (x _ {i} - \bar {x}) (y _ {i} - \bar {y}) ] / \sqrt {\left[ \Sigma (x _ {i} - \bar {x}) ^ {2} \Sigma (y _ {i} - \bar {y}) ^ {2} \right]}
$$
where $x_i$ and $y_i$ are the individual data points, and $\bar{x}$ and $\bar{y}$ are the means of the variables.
## V. RESULTS
### a) Demographic Characteristics
The majority of respondents (62%) were in the 24-35 age group. The gender ratio was balanced (55% female, 45% male). 40% of respondents lived in the capital, 30% in a city with county rights, 20% in a small town, and 10% in a village. According to the highest level of education, respondents with a bachelor's degree were the majority (60%), followed by those with a master's degree (25%).
### b) Perceived Danger of Fake News
Respondents generally rated the danger of misinformation as high (average: 4.4 on a scale of 5). The highest ratings were given to general dangerousness (82% on a scale of 4-5), the impact on individual decisions (75%) and the impact on politics (70%). The impact on democracy was rated somewhat lower (65%). The impact of Fake News on the European Green Deal was rated by respondents as 3.2 on average, which is lower compared to other areas (48% on the 4-5 scale).

Fig. 1: Distribution of Perceived Danger of Fake News by News Source
Fig. 1 above illustrates the perceived danger of fake news based on the respondent's primary news source. Users of scientific journals rated the danger highest (Mean = 4.3), followed by traditional media (3.6), and Facebook News Feed users rated it lowest (2.9).
Table 1: Descriptive Statistics of Perceived Risk of Fake News
<table><tr><td>Criteria</td><td>Mean (Scale 1-5)</td><td>Percentage of 4-5 Responses</td></tr><tr><td>General Dangerousness (Q15)</td><td>4.4</td><td>82%</td></tr><tr><td>Impact on Individual Decisions (Q16)</td><td>4.2</td><td>75%</td></tr><tr><td>Impact on Politics (Q17)</td><td>4.1</td><td>70%</td></tr><tr><td>Impact on Democracy (Q18)</td><td>3.9</td><td>65%</td></tr><tr><td>Impact on European Green Deal (Q19)</td><td>3.2</td><td>48%</td></tr></table>
### c) Demographic Variations in Risk Perception
Significant differences in the assessment of the impact on the Green Deal were shown by demographic factors. Those with a master's degree rated the risk significantly higher (average: 4.1) compared to those with a bachelor's degree (average: 2.8). Residents of the capital rated the risk lower (average: 2.7) than those living in rural regions (average: 3.8). Those who use social media hourly rated the risk higher (average: 4.1) than those who use it for 1-2 hours a day (average: 2.9).
Table 2: One-way ANOVA results by demographic groups for questions: Q15-Q19
<table><tr><td>Question No.</td><td>F statistic</td><td>P value</td></tr><tr><td>General Dangerousness (Q15)</td><td>3.345</td><td>.002</td></tr><tr><td>Impact on Individual Decisions (Q16)</td><td>2.452</td><td>.034</td></tr><tr><td>Impact on Politics (Q17)</td><td>2.567</td><td>.024</td></tr><tr><td>Impact on Democracy (Q18)</td><td>1.342</td><td>.344</td></tr><tr><td>Impact on European Green Deal (Q19)</td><td>2.674</td><td>.044</td></tr></table>
### d) Media Source Comparison and Impact on the Green Deal
The type of news source also influenced respondents' opinions on the impact on the Green Deal. Those who use the Facebook news feed rated the risk lower (average: 2.9), while those who use the online interfaces of traditional media rated it higher (average: 3.6). Those who read scientific articles rated the impact on the Green Deal the highest (average: 4.3).
### e) Support for countering Fake News
The vast majority of respondents agreed on the need to take action against Fake News. Social action was supported by $85\%$, legislative regulation by $78\%$ and education by $92\%$. Opinions were divided on the role of artificial intelligence (AI). $63\%$ of respondents believe that AI will increase the spread of Fake News, while $41\%$ believe that it offers an opportunity to filter out Fake News.
### f) Statistical Correlations
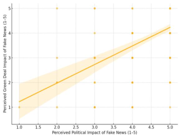
The analysis of the Pearson correlation coefficient showed a strong positive correlation between the risk of the Green Deal and the consumption of political news ( $r = 0.72$, $p = 0.002$ ). This means that the more political news someone consumes, the more likely they are to rate the impact of Fake News on the Green Deal as high. The chi-square test showed a significant relationship between education and climate policy concern ( $x^2 (4) = 12.7$, $p = 0.013$ ).

Fig. 2: Correlation Between Political News Perception and Green Deal Risk (r = 0.53).
Caption: The scatter plot demonstrates a positive correlation between the amount of political news consumed and the perceived risk of Fake News impacting the Green Deal (Pearson's $r = 0.72$ ).
## VI. COMPARATIVE ANALYSIS
### a) Comparison of Demographic Groups
Based on the data, it can be stated that those with higher education and intensive users of social media are more likely to consider Fake News dangerous to the Green Deal. In contrast, residents of the capital are less likely to consider the phenomenon dangerous, which may indicate that they are better informed or less influenced by misinformation compared to the rural population.
### b) Comparison of News Sources
The differences between news sources highlight that those who read scientific articles are more likely to recognize the danger of Fake News on the Green Deal than those who use social media. This suggests that scientific sources result in a more critical approach and thorough information.
## VII. DISCUSSION
The results of this study support the growing academic consensus that fake news and disinformation represent a multifaceted threat to democratic governance, economic stability, and the efficacy of long-term public policy- such as climate action through the European Green Deal. The survey findings underscore the variance in perceived threat levels based on demographic and behavioral factors. Notably, those with higher levels of education and more frequent political news consumption were more likely to view fake news as a significant risk to climate-related initiatives. This supports prior research suggesting that media literacy and cognitive engagement are critical mediators of disinformation susceptibility [4] [5].
An important contribution of this research lies in the comparative analysis of news sources. Respondents who accessed information via scientific articles demonstrated the highest levels of awareness regarding the disinformation threat- consistent with findings by Guess, Nyhan & Reifler (2020), which emphasized the role of high-quality information in democratic resilience. Meanwhile, reliance on social media- particularly platforms like Facebook- was associated with lower concern, a pattern previously observed by Vosoughi, Roy & Aral (2018) in their studyon virality dynamics. On virality dynamics, observed by Vosoughi, Roy & Aral (2018) in their study on virality dynamics.
The observed correlation between political news consumption and risk perception regarding the Green Deal (r = 0.72, p <.01) further illustrates how disinformation exploits politically charged narratives. This aligns with Lazer et al. (2018), who argued that fake news thrives in polarized environments where ideological filters distort interpretation.
A novel element of this study is its integration of climate policy into disinformation discourse. The inclusion of Green Deal-related questions highlights that misinformation does not only impact elections or public health but also influences long-term sustainability goals. The lower risk perception among urban residents may reflect either a higher media literacy rate in metropolitan areas or an overconfidence in institutional information sources, warranting further research.
## VIII. CONCLUSION
This study confirms that fake news and disinformation are not merely media pathologies- they are systemic risks to societal trust, institutional legitimacy, and democratic policymaking. The empirical findings based on Hungarian public opinion suggest that the battle against disinformation must incorporate robust educational strategies, legislative safeguards, and platform accountability mechanisms. Particularly, misinformation surrounding environmental and climate policies such as the European Green Deal demonstrates how even future-oriented governance is vulnerable to distortion.
A strong, evidence-based media literacy curriculum- targeted across all age and education groups- is necessary to build long-term resilience. In parallel, transnational cooperation among EU member states, civil society, and digital platforms is vital to maintaining a balanced information ecosystem that supports public engagement rather than erodes it.
In the age of algorithmic amplification and Al-generated content, the imperative to protect the information commons has never been greater. By addressing fake news not only as a communication issue but as a governance and security challenge, this research adds an interdisciplinary dimension to a globally relevant debate.
Generating HTML Viewer...
References
29 Cites in Article
David Lazer,Matthew Baum,Yochai Benkler,Adam Berinsky,Kelly Greenhill,Filippo Menczer,Miriam Metzger,Brendan Nyhan,Gordon Pennycook,David Rothschild,Michael Schudson,Steven Sloman,Cass Sunstein,Emily Thorson,Duncan Watts,Jonathan Zittrain (2018). The science of fake news.
E Broda,J Strömbäck (2024). Misinformation, disinformation, and fake news: Lessons from an interdisciplinary, systematic literature review.
Edda Humprecht,Frank Esser,Peter Van Aelst (2020). Resilience to Online Disinformation: A Framework for Cross-National Comparative Research.
G Huang,W Jia,W Yu (2024). Media literacy interventions improve resilience to misinformation: A meta-analytic investigation of overall effect and moderating factors.
Jon Roozenbeek,Sander Van Der Linden,Beth Goldberg,Steve Rathje,Stephan Lewandowsky (2022). Psychological inoculation improves resilience against misinformation on social media.
A Lanoszka (2019). Disinformation in international politics.
K Starbird (2017). Examining the alternative media ecosystem through the production of alternative narratives of mass shooting events.
T Assenza,F Collard,P Fève,S Huber (2024). From buzz to bust: How fake news shapes the business cycle.
M Arcuri,G Gandolfi,I Russo (2023). Does fake news impact stock returns? Evidence from US and EU stock markets.
Hunt Allcott,Matthew Gentzkow (2017). Social Media and Fake News in the 2016 Election.
S Vosoughi,D Roy,S Aral (2018). The spread of true and false news online.
Andrew Guess,Brendan Nyhan,Jason Reifler (2020). Exposure to untrustworthy websites in the 2016 US election.
J Tucker,A Guess,P Barbera,C Vaccari,A Siegel,S Sanovich,D Stukal,B Nyhan (2018). Social media, political polarization, and political disinformation: A review of the scientific literature.
Kathie Treen,Hywel Williams,Saffron O'neill (2020). Online misinformation about climate change.
C Wagnsson,M Barzanje (2021). A framework for analysing antagonistic narrative strategies: A Russian tale of Swedish decline.
Arash Amini,Yigit Bayiz,Eun-Ju Lee,Zeynep Somer-Topcu,Radu Marculescu,Ufuk Topcu (2024). How media competition fuels the spread of misinformation.
P Fraga-Lamas,T Fernández-Caramés (2019). Fake news, disinformation, and deepfakes: Leveraging distributed ledger technologies and blockchain to combat digital deception and counterfeit reality.
Gordon Pennycook,David Rand (2019). Fighting misinformation on social media using crowdsourced judgments of news source quality.
Michela Del Vicario,Alessandro Bessi,Fabiana Zollo,Fabio Petroni,Antonio Scala,Guido Caldarelli,H Stanley,Walter Quattrociocchi (2016). The spreading of misinformation online.
Stephan Lewandowsky,Ullrich Ecker,John Cook (2017). Beyond misinformation: Understanding and coping with the “post-truth” era..
D Flynn,Brendan Nyhan,Jason Reifler (2017). The Nature and Origins of Misperceptions: Understanding False and Unsupported Beliefs About Politics.
Gordon Pennycook,Adam Bear,Evan Collins,David Rand (2018). The Implied Truth Effect: Attaching Warnings to a Subset of Fake News Headlines Increases Perceived Accuracy of Headlines Without Warnings.
Karishma Seervi (2025). Gold Loan Companies: A Reliable Financial Solution in Times of Need.
Reuters (2025). AI-generated content raises risks of more bank runs, UK study shows.
(2024). Deepfakes damage democracy, but what can we do about it?.
Peggy Eastman (2024). Influenza Season Could Be Challenging, Experts Warn.
(2024). How China is using AI news anchors to deliver its propaganda.
No ethics committee approval was required for this article type.
Data Availability
Not applicable for this article.
How to Cite This Article
Szilard Szelpal. 2026. \u201cDisinformation and Democracy: Assessing the Threat of Fake News to Societal Trust, Security, and Global Competitiveness\u201d. Global Journal of Management and Business Research - A: Administration & Management GJMBR A Volume 25 (GJMBR Volume 25 Issue A2): .
Explore published articles in an immersive Augmented Reality environment. Our platform converts research papers into interactive 3D books, allowing readers to view and interact with content using AR and VR compatible devices.
Your published article is automatically converted into a realistic 3D book. Flip through pages and read research papers in a more engaging and interactive format.
This paper explores the growing threat of fake news and disinformation in the digital era, particularly in the European context. It combines an extensive literature review with primary data from two online surveys conducted in Hungary, focusing on media literacy, perceived risk of misinformation, and its influence on attitudes toward EU-level policies, such as the European Green Deal. The study reveals notable generational and educational disparities in media competence and public trust. Findings indicate that frequent political news consumers are more likely to perceive fake news as a threat to climate policy and governance. The paper concludes that misinformation poses not only a media problem but also a challenge to democratic institutions, public health, economic stability, and societal cohesion, requiring robust policy and educational responses.
Our website is actively being updated, and changes may occur frequently. Please clear your browser cache if needed. For feedback or error reporting, please email [email protected]
Thank you for connecting with us. We will respond to you shortly.