Annotation- In order to meet the special requirements (for the strength and conductivity of concrete structures) that arise during the transmission of electricity to remote areas of the Russian Federation, a variant of using self-healing concrete is proposed. In this material, it is proposed to use microcapsules obtained by the physical method, consisting of sodium silicate and bentonite clay coated with ethyl cellulose with graphene. The mechanism of action of the capsule is as follows: after external mechanical destruction, access to graphene appears and it acts as a conductive medium, resulting in the cementing properties of the capsule core. In the course of the work, the optimal ratio of graphene and the capsule core was established, which was determined during a number of experiments and microstructure studies. The dependences of the compressive strength and conductivity of the composite on the graphene content in the capsule, the number of microcapsules in concrete and the time of strength gain were also revealed. In the experiments, the average size of microcapsules was $1. 2 5 \mathsf { m m }$,the grain shape is predominantly spherical with a rough surface and dense structure. The optimal microcapsule content was $2 \%$ of the cement binder weight, which corresponds to $0. 1 \%$ graphene oxide. With an increase in the graphene content, the conductivity of the concrete composite monotonicaly increases, and the compressive strength increases to a certain limit, and then decreases. After partial destruction of the samples (discontinuity) at the microlevel, the composite material recovered, while the recovery coefficient was $81 \%$, and the recovery coefficient of compressive strength was $57 \%$.
Аннотация- C целью удовлетворения специальных требований (πо прочности проводимости бетонных конструкций), которые возникают при передаче электроэнергии B отдаленные районы PΦ предложен вариант применения самовосстанавливающегося бетона. В ЭТОМ материале предлагается испольЗоваТЬ микрокапсулы, получаемые физическим методом, состоящие из силиката натрия и бентонитовой глины покрытые оболочкой из этилцеллюлозы с графеном. Механизм действия капсулы следующий: после внешнего механического разрушения появляется доступ к графену и он выступает в качестве проводящей среды в результате чего проявляются цементирующие свойства ядра капсулы. В ходе работы установлено оптимальное соотношение графена и ядра капсул, которое определялось в ходе ряда экспериментов и исследованием микроструктуры. Также выявлены зависимости прочности na сжатие
проводимости композита от содержания рпафена B капсуле, количества микрокапсул в бетоне и времени набора прочности. В экспериментах средний размер микрокапсул составил 1,25 MM, форма 3epeH преимущественно сферическая с шероховатой поверхностью плотНоЙ структурой. Оптимальное содержание микрокапсул составило $2 \%$ OT массы цементного вяжущего, что соответствует $0, 1 \%$ оксида рпафена. При увеличении содержания рпафена проводимость бетонного композита монотонно возрастает, а прочность на сжатие до некоторого предела возрастает, а затем снижается. После частичного разрушения образцов (нарушения сплошности) на микроуровне композитный материал восстановился, ЭТОМ коэффициент восстановления составил $8 1 \%$, a коэффициент восстановления прочности на сжатие - $5 7 \%$.
## I. Введение
В настоящее время быстрыми темпами время быстрыми темпами увеличивается количество энергопотребителей ПО всей территории PΦ, что в СВОЮ очередь стимулирует активный линий передач преобразования электроэнергии, B TOM числе B отдаленных районах страны (рис.1) C суровыми климатическими условиями.

Рис. 1: Принципиальная схема линий передачи и преобразования электроэнергии в РФ Fig. 1: Schematic diagram of transmission and conversion lines of electricity in the Russian Federation
При этом на фундаменты опор ЛЭП влияют как погодные условия (большое количество дождей, экстремальные температуры), Tak сложные геологические условия (засоленные или слабые грунты), что приводит к разрушению бетонной конструкции, морозному пучению, неравномерным осадкам, трещинам и другим повреждениям. В то же время, фундаменты являются «скрытыми работами», что затрудняет выявление образовавшихся дефектов, трещин, снижает долговечность и сроки безопасной эксплуатации конструкций. Также фунжаменты должны обладать определенной электропроводимостью для обеспечения безопасности людей и оборудования и для повышения надежности работы энергосистемы. Рядовой тяжелый бетон имеет удельное сопротивление $1 0 ^ { 4 }... 1 0 ^ { 9 }$ ${ \bf O } { \bf M } ^ { \times } { \bf M }$ и для использования erо B конструкциях фундаментов ЛЭП ero необходимо снижать. Все перечисленные факторы определяют требования, предъявляемые к бетону фундаментов.
Созданный коллективом аBTоpоB интеллектуальный самовосстанавливающийся бетон разработан на основе бионической теории. Ремонтный материал при изготовлении смеси располагается внутри монолита и когда конструкция повреждена, запускаются триггерные механизмы (температура, изменение рН
среды ИЛИ трещины) запускают восстановление поврежденного участка, что продлевает срок службы конструкции повышает ee долговечность. Микрокапсульная технология самовосстановления материалов Ha основе портландцемента обладает преимуществами, которые заключаются в возможности массового применения, НиЗкОЙ себестоимости (по сравнению с ремонтными работами), простоты управления процессом прекрасной диспергиируемостью по телу бетона [1-3]. В настоящее время, аналогичные материалы состоят И3 карбамидоформальдегидные смолы/эпоксидные микрокапсулы [4-7], микрокапсулы фенольной смолы/дициклопентадиена [8-10], обладающие более ниЗкой адгезией незначительным расширением материала ядра B совокупностью с недостаточной прочностью стенки капсул, чТО существенно ограничивает возможность их применения в цементных КОМПОЗИЦИЯХ [11]. Способы изготовления таких капсул основаны на физическом [12-14], химическом [15], физико-химическом [16-21] и других методах (табл. 1). Ян Гокунь [22], Чжан Мин [23], Ван Жуй [24], Xy Хунлинь [25],J. Чжун [26] другие проводили экспериментальные исследования математическое моделирование B области нефтехимии, дорожного
машиностроения, мостостроения, полимерных материалов, покрытий и других областях. Однако, для фундаментов линий электропередач, работающих в сложных геологических и метеорологических условиях
удаленных районов Крайнего Севера таких исследований выполнено не было, не смотря на высокую потребность.
Таблица 1: Способ приготовления микрокапсул [12-21]
<table><tr><td>Способ
Прноговедия</td><td>способ позьоства</td><td>Матер�数
сердевинь</td><td>Матер�数
стен</td><td>Сбайства
мaterона</td></tr><tr><td rowspan="2">физICAL</td><td>Метол раслелгелов сушkin</td><td>CSA</td><td>PVA</td><td>Ed(↑)</td></tr><tr><td>Мнкрфлондка/фотоллимеризацna</td><td>CS、SS</td><td>AE</td><td>σbc(↓)、Cr(↑)</td></tr><tr><td rowspan="4">химя</td><td>Химчески akтуворованая Emльский
ПОЛМеризацna</td><td>SF</td><td>PS</td><td>Cr(↑)、E(↓)、pH(↑)</td></tr><tr><td>Агегацna ИЗлочец</td><td>BS</td><td>MA</td><td>σbc(↓)、σ(↓)</td></tr><tr><td>Метол Exстуши</td><td>CH、MFP、Ag+</td><td>EC、MA</td><td>pH(↑)、Cr(↓)</td></tr><tr><td>Зльные</td><td>BS</td><td>SiO2、M</td><td>σbc(↓)、σ(↓)、fcf(↓)、K(↑)</td></tr><tr><td rowspan="2">Синтыз φизIKи ихими</td><td>Метол Плавлий и дисрговацna</td><td>SS</td><td>G</td><td>σbc(↓)、fcf(↑)、K(↑)</td></tr><tr><td>Комплексный метол Emльский</td><td>PER、SS、DCPD、MMA、CS</td><td>UF、PU、PUF、PS、PF、MF</td><td>σbc(↓)、fcf(↓)、E(↑)、K(↑)</td></tr></table>
Примечание: Аббревиатуры в таблице имеют следующие значения: Е: модуль упругости, Ed: динамический модуль упругости, Сг: скорость коррозии, К: скорость заживления трещин, ВS: бактериальные споры, МA: альгинат, G: желатин, РER: эпоксидная смола, AE: акрилат, CН: гидроксид кальция, CS: силикагель, CSA: тиоалюминат кальция, DCPD: дициклопентадиен, ЕС: этиленцеллюлоза, М: меламин, MF: меламиндальдегид, МFР: монофторфосфат, F: фенолформальдегид, PS: полистирол, PU: полиуретан, PVA: поливиниловый спирт, SF: фторфосфат натрия, SS: силикат натрия, UF: карбамидоформальдегид.
B TO xе время, специальные проектные требования к фундаментам опор ЛЭП усложняют запросы к материалу бетона. Наиболее часто в практике для повышения проводящих свойств бетона используют дополнительные компоненты смеси, такие как графит, углеродное волокно, стальной шлак, стальное волокно и технический углерод. Использование рпафена (c ВЫСОКОЙ проводимостью большой удельной поверхностью) позволяет значительно улучшить электропроводность цемнтных КОмПоЗИЦИЙ, однако снижает прочностные характеристики материала увеличивает его себестоимость, что ограничивает его применение. При этом, стоит отметить, что и другие токопроводящие компоненты негативно ВЛИЯЮТ Ha технологические свойства бетонных смесей. Поэтому применение микрокапсул, kak решения данного технико-технологического вопроса весьма актуально при проектировании и строительстве ЛэП в России и на северо-западе Китая.
B представленном исследовании авторы изготавливали физическими методами ядро
микрокапсулы на основе силиката натрия и бентонита, а оболочку – на основе этилцеллюлозы и ксилола с добавлением ррафена. В ходе работы изучали зависимость прочностных характеристик цементных КОМПОЗИТОВ от содержания микрокапсул в бетоне, графена в микрокапсулах и времени твердения. На микроуровне процесс восстановления дефектов (трещин) бетона исследовали методами оптической микроскопии и методами рентгенофазового анализа.
## II. Изготовление образцов цементного композита, микрокапсул и механизм их действия
Для изготовления образцов цементного композита был принят состав цемент: песок $= 1: 3$ C водоцементным соотношением 06. Содержание в композиции варьировали и оно составляло 1, 2, 3, 4 и $5 \%$ вводили фторсиликат натрия в количестве $1 5 \ \%$ OT массы микрокапсул и раствор оксида графена в количестве 0,025; 0,05; 0,1; $0, 2 5 ~ \mathrm { ~ \bf ~ n ~ } ~ 0, 5 ~ \mathrm { ~ \% ~ }$ от массы цемнта. Из контрольного и экспериментальных составов цементных КОмПоЗИЦИЙ изготавливали образцы-кубы размером $7 0 { \times } 7 0 { \times } 7 0$ MM через 7, $1 4 \mathrm { ~ \ } \mathrm { ~ \ } \mathrm { ~ \ } \mathrm { ~ \ } 2 8$ твердения проводили ИХ испытания на определение пределе прочности при сжатии и определяли скорость восстановления структуры как отношение прочности после восстановления K прочности контрольных образцов.
Изначально изготавливают ядро микрокапсулы, ДЛЯ чего силикат натрия, микрокристаллическую целлюлозу, бентонит и метилцеллюлозу берут B соотношении 25, 30, $1 0 \mathrm { ~ \textit ~ { ~ H ~ } ~ } 2 \mathrm { ~ \% ~ }$ соответственно перемешивают до однородности в сухом состоянии (рис.2). Затем добавляют $2 9 \%$ дистиллированной воды и
$4 \%$ Tween $8 0 ~ \mathrm { { \AA } }$ переmеsивают при температуре $4 0 ^ { \circ } \mathrm { C }$.H3 полученной массы методом экструзии с последующей грануляцией получают частицы. Материал оболочки из этилцеллюлозы, этилового спирта и ксилола (10, $1 8 \mathrm { ~ \textmu ~ }$ $72 \%$ соответственно) после тщательного перемешивания наносят на поверхность капсул. Сами капсулы подсушивают B воздушном потоке
одновременным диспергированием. Для дальнейших экспериментов отбирают методом скрининга частицы размером 1-1,25 мм. При замачивании случайного количества капсул дистиллированной ВОДОЙ ТОЛЬКО несколько капсул растворилось, а большая их часть осталась неповрежденной, что говорит о целостности составной структуры капсул.

Рис. 2: Схема изготовления микрокапсул Fig. 2: Microcapsule production process
Микрокапсулы перемешивают другими компонентами цементной КОМПОЗИЦИИ B обычных мешалках принудительного действия, затворяют и формуют образцы, которые после затвердевания готовы K дальнейшим экспериментам. Когда образец подвергается внешнему воздействию, в его структуре возникает микротрещина, которая разрывает оболочку микрокапсул, к ядру проникает влага из окружающего бетонного камня и запускает химические реакции с силикатом натрия (формула 1). В результате образуется гелеобразный гидроксид кремния $\mathrm { S i ( O H ) _ { 4 } }$, который в СВОЮ очередь заполняет свободное пространство, связывается со стенками трещины и новообразования имеют определенную прочность.
$$
\mathrm {N a} _ {2} \mathrm {S i O} _ {3} + \mathrm {C a} (\mathrm {O H}) _ {2} = \mathrm {C a S i O} _ {3} \downarrow + 2 \mathrm {N a O H} \tag {1}
$$
Πо Mepe поглощения ВОДЫ, бентонит расширяется в цементном композите и заполняет трещины, ЧТО препятствует дальнейшему проникновению коррозионных веществ из окружающей среды. Происходит химическая реакция (формула 2) и трещины склеиваются продуктами новообразования, жесткость и непроницаемость цементной матрицы восстанавливается (рис. 3).
$$
2\mathrm{Na}_{2}\cdot\mathrm{nNa}_{2}\mathrm{SiF}_{6}+2(n+1)\mathrm{H}_{2}\mathrm{O}\rightarrow6\mathrm{NaF}+(n+1)\mathrm{Si(OH)}_{4}
$$

Рис. 3: Принципиальная схема механизма самовосстановления микрокапсул Fig. 3: Schematic diagram of microcapsule self-healing mechanism II. Методика экспериментов и результаты работ
На первом этапе определяли прочность образцов только с песком (контрольных) и регистрировали как $\mathrm { K } _ { 0 }$. Затем образцы нагружаются без разрушения до усилия $60 \%$ от разрушающего $( \mathrm { K } _ { 1 } )$, после чего твердеют и восстанавливают структуру в условиях тепло-влажностной обработки. Определение скости восстановления структуры и прочности (ремонтопригодности) проводили после определения после дополнительного твердения $( \mathrm { K } _ { 2 } )$ в течение расчетного количества времени и определяли по формулам:
$$
\mathrm{K}_{\mathrm{x}} = \frac{\mathrm{K}_{2} - \mathrm{K}_{1}}{\mathrm{K}_{0} - \mathrm{K}_{1}} \times 100\%
$$
$$
\mathrm{K}_{\mathrm{h}} = \frac{\mathrm{K}_{2}}{\mathrm{K}_{0}} \times 100\%
$$
Использовали четырехэлектродную вольтамперометрию, которая позволяет устранить контактное сопротивление между листом электрода и цементным основанием, снизить поляризационный эффект. Электроды из нержавеющей стали равномерно располагали на образце на расстоянии 20 мм друг от друга (рис.4), подключали источник постоянного тока, амперметр (I) и вольтметр (U).

Рис. 4: Рабочий механизм метода сопротивления Fig. 4: Working mechanism of resistance method
Площадь поперечного сечения через сегмент ВС составляла S, а расстояние между электродами L. Удельное сопротивление р рассчитывали по формуле 5:
$$
\rho = \frac {U S}{I L} \tag {5}
$$
Микрокапсулы равномерно распределены по поперечному сечению образца (рис. 5), частицы отлично встраиваются в структуру композита, оболочка большинства микрокапсул остается неповрежденной, у некоторых частиц под действием разрушения образца
разрушается оболочка. Присутствующий оксид графена не вступает в реакции с микрокапсулами, что не влияет на способность к самовосстановлению композита. При наблюдении за микродефектами разрушения некоторых образцов, установили наличие B промежутках кристаллических веществ молочно-белого цвета определенной толщины, что объяснялось повышением адгезии за счет расширения материала микрокапсулы и свидетельствовало о способности микрокапсулы к восстановлению всего цементного композита.


(a) Поперечное сечение с $1 \%$ микрокапсул с) Предварительное сжатие создает трещины


(b) $0 {, } 5 \%$ рпафена $+ 5 \%$ микрокапсул d) Восстановление трещины после нагружения

e) Состав образцов с микрокапсулами Рис. 5: Макроскопическая характеристика и состав образцов Fig. 5: Macroscopic characterization and composition of specimens
Рентгенофазовый анализ цементных композитов с микрокапсулами показал наличие в них следующие минералов: альбит, акадит, кварц $( 1 9 \% )$, гидроксид кальция, кальций-пермеалит, алюминаты и клинкерные минералы $( 7 3 \% )$.В них содержание кварца, альбита и аластита увеличилось Ha 2, 22 $23 \%$ соответственно по сравнению с контрольным составом. Это доказывает, чТО материал ядра высвобождается после «вскрытия» микрокапсул образует дополнительное количество гидросиликатов кальция (основных продуктов гидратации портландцемента).
Кроме рентгенофазового анализа были также сделаны микрофотографии микрокапсул цементирующих продуктов реакции (рис.6). Форма микрокапсул преимущественно сферическая, неповрежденная оболочка ПОЛНОСТЬЮ покрывает гладкую поверхность ядра (рис. 6a). При большем увеличении проявляется, что поверхность оболочки
микрокапсулы неровная, что способствует повышению адгезии с цементной матрицей (рис. 6b). При образовании микротрещины B композите 3a счет адгезионных сил капсула также вскроется и освободит доступ к материалу ядра, продукты гидратации которого затем заполнят пространство микротрещины. После предварительного нагружения образца микрокапсула под давлением высвобождает основной материал (рис. 6с), который реагирует с водой и проводит работу по восстановлению. Цвет КОМПОЗИЦИИ с графеном микрокапсулами темнее при ЭТОМ конгломерации графена не обнаруживается (рис. 6d). При ЭТОМ структура материала становится более плотной (рис. 6d). Графен интенсифицирует реакции гидратации, объединяет продукты гидратации увеличивает прочность.

a) Морфология микрокапсул

b) Морфология стенки

с) Дробление микрокапсул для устранения зазоров

d) Морфология графена

Рис. 6: SEМ фотографии и ХRD-анализ самовосстанавливающейся растворной матрицы Fig. 6: SEM photos and XRD analysis of self-healing mortar matrix
e) Композиция цементирующего материала графен-микрокапсула
Отличная диспергируемость B сочетании гидрофильностью ускоряют высвобождение гидротацию основных компонентов ядра микрокапсулы, увеличивает содержание ионов кальция, а минеральные образования заполняют микротрещины. При небольшой диэлектрической проницаемости $( 5 5 \% )$ ВЫСОКОЙ удельной прочности снижается удельное сопротивление цементного композита и реализуется потребность в низком удельном сопротивлении для сети передач энергии.
Прочность на сжатие образцов цементных композиций твердевших 28 суток, при увеличении содержания микрокапсул постепенно снижается до $1 \%$ при $5 \%$ микрокапсул (рис. 7), что не может удовлетворять потребности. Предполагаемые причины
снижения: низкая прочность микросферы (на уровне поры бетона) нарушает первоначальную прочность композита; добавление микрокапсул снижает содержание других компонентов (B TOM числе портландцемента) и ослабляет бетон. Однако небольшое содержание микрокапсул (до $2 \%$ ) приводит K некоторому росту прочности сравнению с контрольным составом. Происходит это по следующим причинам: фторсиликат натрия добавляемый в образцы замедляет кинетику твердения; микрокристаллическая целлюлоза и этилцеллюлоза замедляют коагуляцию и повышают прочность при небольших содержаниях; при приготовлении цементного композита незначительная часть капсул разрушается и материал ядра начинает взаимодействовать заполняя усадочные трещины.

Рис. 7: Прочность на сжатие образцов твердевших в течение 28 дней Fig. 7: Compressive strength of specimens cured for 28 days
Микрокапсулы снижают темпы набора прочности композита, что проявляется на прочности после 7 суток твердения: с микрокапсулами прочность составляет $70 \%$ от контрольного состава. Однако, в дальнейшем прочность активном возрастает и через 28 суток превышает контрольные образцы. Поэтому для дальнейших экспериментов брали образцы, твердевшие 28 суток, после чего образец подвергали испытанию водному твердению в течение 10, $2 0 \textbf { \em H } 3 0$ дней, после чего определяли прочность на сжатие и рассчитывали скорость и коэффициент восстановления.
Скорость восстановления прочности на сжатие $\mathrm { K } _ { \mathrm { x } }$ плавно возрастает с увеличением содержания
микрокапсул (рис. 8). Установлено, что силикат натрия B цементной матрице взаимодействует с водой фторсиликатом натрия с образованием цементирующих веществ, количество которых увеличивается с повышением содержания микрокапсул, что объясняет POCT прочности (самовосстанавливающий эффект). Однако следует учитывать, ЧТО повышением содержания микрокапсул также увеличивается количество точек концентраций напряжений вероятность появления дефектов – трещин. Но при этом также увеличивается количество вовлеченных B самовосстановление микрокапсул.

Рис. 8: Коэффициент восстановления прочности на сжатие Fig. 8: Compressive strength recovery rate
Установлено, ЧТО скорость восстановления прочности у образцов дополнительно твердевших 30 дней в тепловлажностных условиях самая большая, а твердевших 10 дней – наименьшая. Причина такого увеличения эффекта самовосстановления может быть объяснена ограниченностью скоростью реакции силикаты натрия в материале ядра микрокапсулы и чем меньше частиц полностью гидратированного цемента, тем больше скорость восстановления. Замедление роста $\mathrm { K } _ { \mathrm { x } }$ объясняется ограниченностью ne вступивших в реакцию микрокапсул, a увеличение длительности восстановления не дает нужный эффект. Параллельно с этим расширение бентонита уже вступившего в реакции приводит к заполнению трещин новообразованиями и уменьшению поступления воды извне.
На прочность на сжатие и скорость восстановления бетона в большей степени влияют микрокапсулы, а графен служит добавкой улучшающей
проводящие свойства цементной композиции. Поэтому влияние графена изучали при прочих постоянных условиях: содержание микрокапсул составляло $2 \%$ цементный композит твердел 28 суток.
При увеличении содержания рпафена B композите, прочность бетона стабильно возрастает до состава с $0 {, } 1 \%$ графена и достигает значения $1 2 1 \mathrm {, } 6 \%$ OT контрольного (рис. 9). Дальнейшее увеличение доли графена приводит к уменьшению прочности и при содержании $0 {, } 5 \%$ бетон имеет прочность на сжатие всего $92 \%$.Полученные результаты объясняются тем, ЧТО графен при небольшом содержании ускоряет процессы гидратации цемента, заполняет пустоты на микроуровне, а также изменяет структуру продуктов гидратации.

Рис. 9: Прочность на сжатие 28-дневного образца Fig. 9: Compressive strength of a 28-day specimen
Еще один механизм воздействия графена может быть объяснен его высокой удельной поверхностью, что способствует связыванию воды, распределяя ее
равномерно По всей цементной матрице. При дальнейшем повышении содержания частицы оксида графена агрегируются и образуют микроячейки с нулевой прочностью, что создает точки с повышенным внутренним сопротивлением.
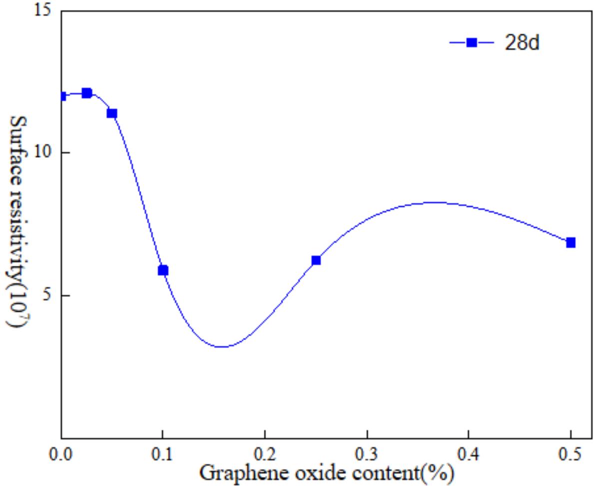
Поверхностное сопротивлениеопределяли также на образцах твердевших 28 суток. Установили, что минимальные содержания графена существенно не влияют на сопротивление, а состав с $0 {, } 1 \%$ рпафена имеет сопротивление всего $4 8 \%$ от контрольного (рис. 10). Дальнейшее увеличение доли графена существенно не влияет на сопротивление и оно даже незначительно возрастает, что также объясняется агрегированием дисперсных частиц одновременным снижением пластичности цементной sмеси, ЧТО приводит K снижению качества формования образованию воздушных пустот с высоким сопротивлением.

Рис. 10: Распределение поверхностного сопротивления образцов Fig. 10: Surface resistance distribution of specimens
## IV. Выводы из результатов экспериментов
1. Разработанные микрокапсулы, содержащие силикат натрия и бентонит и получаемые физическим методом, могут повысить эффективность самовосстановления цементной композиции (скорость восстановления прочности на сжатие выше, чем у обычных образцов).
самовосстановления цементной КОМПОЗИЦИИ (скорость восстановления прочности на сжатие выше, чем у обычных образцов). Методами Микроскопии рентгенофазового анализа
- установлено, ЧТО микрокапсулы имеют сферическую форму с качественной оболочкой шероховатой поверхности. После растрескивания оболочки материал ядра капсулы высвобождается и его продукты реакции осаждаются в трещинах, заполняя их и тем самым ремонтируя.
2. Введение микрокапсул до $1 \%$ повышает прочность на сжатие, однако при дальнейшем увеличении доли микрокапсул прочность постепенно снижается и при содержании $3, 0 \%$ она оказывается ниже контрольного состава. Рекомендуемое содержание микрокапсул составляет $2 \%$ что дает оптимальные показатели прочности Ha сжатие самовосстанавливающего эффекта.
3. Введение в композицию оксида графена сначала повышает прочность бетона, а затем снижает. Оптимальное содержание оксида графена в бетонной композиции составляет от 0,05 до $0 {, } 1 5 \%$, что позволяет наиболее полно использовать данное преимущество.
4. Добавление оксида графена улучшает проводимость цементного бетона, оптимальное содержание составляет $0 {, } 1 \%$: ниже этого графен меньше улучшает проводимость, а превышение не улучшает данную характеристику и с учетом стоимости материала является экономически нецелесообразным.
Generating HTML Viewer...
References
34 Cites in Article
Carolyn Dry,William Mcmillan (1999). Three-part methylmethacrylate adhesive system as an internal delivery system for smart responsive concrete.
Mao Qianjin,Wu Wenwen,Peng,Etc (2018). Selfhealing effect of calcium alginate/epoxy microcapsules in cement-based materials.
Victor Li,Emily Herbert (2012). Robust Self-Healing Concrete for Sustainable Infrastructure.
B Q Dong,G Fang,Y H Wang (2017). Performance recovery concerning the permeability of concrete by means of a microcapsule based self-healing system.
Wang Xingang,Long,Fu Xingguo (2020). Particle characteristics and sustained release performance of epoxy resin/ethylcellulose microcapsules[J].
Zhang Peng,Chen Jingjing,Wei (2018). Research and progress of self-repair technology for concrete damage.
L Lv,Z Yang,G Chen,G Zhu,N Han,E Schlangen,F Xing (2015). Synthesis and characterization of a new polymeric microcapsule and feasibility investigation in self-healing cementitious materials.
Dong Xufeng,Guan Xinchun,Jinping (2010). Effect of particle size distribution on properties of resinbased magnetostrictive composites.
Ou Jinping,L Guan Xinchun,Hui (2006). Research progress of stress self-sensing cementitious composites and their sensors.
Mao Qianjin,Wu Wenwen,Liang Peng (2018). Selfhealing effect of calcium alginate/epoxy microcapsules in cement-based materials.
D Bergman,F Wudl (2007). Mendable polymers[J].
Kan Lili,Shi Huisheng,Qu Guangfei (2011). Self-healing process and products of engineering cementitious composites.
M Zhang,L Chen,F Xing (2014). Properties of percolation structure of self-healing cementitious composites based on UF/E microcapsule.
Rongguo Wang,Honglin Hu,Wenbo Liu,Xiaodong He,Qiong Guo (2012). The effect of synthesis condition on physical properties of epoxy‐containing microcapsules.
Duan Tigang,Huang Guosheng,Ma Li (2020). Preparation and corrosion resistance of Q235/Ni-Cobased self-healing coating.
Chen Zhong,Huisu (2014). Research progress on autonomous healing of cracks in cement-based materials.
Dang Xudan,Heng,He Yuejin (2005). Research on capsule-type self-healing intelligent composites.
Yan Ying,Yongping,Zhang Huiping (2011). Preparation and performance of self-healing microcapsules.
Duan Tigang,Huang Guosheng,Ma Li (2020). Preparation and corrosion resistance of Q235/Ni-Cobased self-healing coating.
Zhu Kangjie,Chunxiang,Li Min (2020). Effects of size and content of microcapsule repair agent on release rate of microbial self-healing concrete.
Yang Guokun,Jiang Guosheng,Liu Tianle (2021). Preparation of temperature-controlled self-healing microcapsules and their application in cementing cement slurry in hydrate formation.
Ming Zhang (2013). Research on self-healing technology and principle of microcapsules for cement-based materials.
Wang Rui (2014). Preparation and properties of microcapsules for waterborne self-healing coatings.
Hu Honglin Preparation and properties of epoxy resin microcapsules and their binary self-healing materials.
D (2012). Unknown Title.
Zhong,Chen Xiong Tingqian,Huisu (2021). Numerical simulation of repair efficiency of spherical/spherical microcapsule self-healing cementitious composites.
Song Bingchen (2016). Study on capsuleization of functional components of self-healing cementitious materials.
Wang Ziyi (2018). Study on the performance of electromagnetic functional aggregates and mortar prepared by magnetic separation fly ash.
Hong Lei (2007). Study on intelligent properties of graphite cement mortar grouting steel fiber concrete.
Han Ruijie,Cheng Zhongqing,Yi,Zhang Yuanhao (2020). Study on conductivity of multilayer graphene/steel fiber composite mortar[J].
Wu Yichen,Guo Rongxin,Haiting,Wei Suo Yuxia,Chen Lihuang,Jiamin (2021). Effect of different dispersants on mechanical and electrical conductivity of cementitious composites compounded with GO/CNFs[J].
Xu Jing,Yao Wu (2011). Electrochemical studies on the performance of conductive overlay material in cathodic protection of reinforced concrete.
X Li,L Wang,Y Liu (2018). Dispersion of graphene oxide agglomerates in cement paste and its effects on electrical resistivity and flexural strength.
No ethics committee approval was required for this article type.
Data Availability
Not applicable for this article.
How to Cite This Article
Wang Mingyuan. 2026. \u201cEfficiency of Self-Healing Cementing Materials\u201d. Global Journal of Research in Engineering - E: Civil & Structural GJRE-E Volume 23 (GJRE Volume 23 Issue E2): .
Explore published articles in an immersive Augmented Reality environment. Our platform converts research papers into interactive 3D books, allowing readers to view and interact with content using AR and VR compatible devices.
Your published article is automatically converted into a realistic 3D book. Flip through pages and read research papers in a more engaging and interactive format.
Our website is actively being updated, and changes may occur frequently. Please clear your browser cache if needed. For feedback or error reporting, please email [email protected]
Thank you for connecting with us. We will respond to you shortly.