Collective intelligence (CI) is critical for groups to solve a variety of problems. Such emergent property of the group as a whole is the result of group interaction processes that may inevitably lead to different cognition, collaboration and relationship between individuals, even conflict within group. A key question concerning problem solving is whether and how conflict influences the emergency of collective intelligence. Here, we used trust and distrust to indicate harmony and conflict state of the group. We utilized agent-based modeling to examine the emergent outcomes resulting from trust-based group interaction. Our results support the conclusion that CI emerges in moderate task complexity conditions. We further showed that the maximum level of CI is predicted by distrust. We also found that trust-based positive and negative feedback mechanism worked simultaneously in group problem solving process.
## I. INTRODUCTION
People tend to form groups when they have to solve difficult problems because groups seem to have better problem-solving capabilities than individuals (1). When group members interact with each other and combining knowledge across individuals, the group, as a whole, results in the acquisition of the ability to solve new or more complex problems (2). This kind of ability is called collective intelligence (CI), which is the general ability of a particular group to perform well across a wide range of different tasks (3).
Collective intelligence has been used as a determining factor to problem solving (1), collective performance (3), knowledge management (4), group synergy (5) and has also been a measure of the advantage of being in a group compared to isolated individuals, -aka "nominal group" (5). Though CI does emerge in human groups, crowds, of course, are not always wiser than individuals (6). Previous studies have shown that it is not a matter of putting a group of smart people together that makes an effective team and emergent CI, but rather requires cooperation and coordination among members (7). Differences in perspective are created on determinants of CI (8), such as who is in the group (composition), e.g., diversity (9) and the proportion of females in the group (3); what they face (situation), e.g., task complexity (5) or task difficulty (1); and how they share information (process), e.g., intermittent breaks in interaction (10).
However, to the best of our knowledge, previous studies have only addressed one or two of these perspectives (composition, situation, process), and few works examined them from a holistic perspective. One of the reasons may be the fact that CI involves simultaneously individual processes, group dynamics, and organizational or institutional contingencies (11). Though the researchers have made great contributions to the study of the relationship between IQ and CI, they made hypothesis of perfect communication in group interaction, which is an idealized description of the information share process (1). In other words, it is assumed that the team is always in a harmonious atmosphere, but this is difficult to achieve in reality. CI, as interrelated team property, is emergent state 39 and is dynamic in nature resulting from coordination and competition among the team members (12). The group interaction is inherently an uncertain and complex process, which makes it difficult for teams to maintain harmony all the time. Different behavior, opinion formation, and decision making (13) will inevitably arise between members, and it may easily leads to discord, even to the point of conflict. Existing studies found that conflict contribute significantly to organization productivity (14), they argued that conflict can be constructive and beneficial (15). While the other researchers advocated that conflict is bad, harmful and was labeled as a destructive force (16, 17). Most of the past research focuses only on static levels of conflict, ignoring that conflict might occur over time (18).
As trust is considered the antecedent of conflict (19, 20), we use trust (positive trust, PT) to represent harmony state and distrust (negative trust, NT) to represent the conflict state in teams (21, 22). We investigate the influence of conflict on the emergence of CI by further exploring how trust generates, changes, or even comes to be dissolved during group interaction. As such, based on complex adaptive system (CAS) theory (23, 24), our focus takes integration of composition, situation and process perspective and we see groups as complex, adaptive, dynamic systems(25). We build upon the rich tradition of agent-based modeling and focus on emergent consequences of agent's trust-based communication for problem solving. Agent-based models are especially helpful and appropriate to investigate this because, as "computational experiments," they (1) produce empirically testable hypotheses in a variety of contexts (e.g., large or small-group experiments, etc.); and (2) enable us to quickly and effectively test for causality across varying forms of structure (e.g., harmony and conflict state) and agency (e.g., agents with different knowledge). They can also inductively investigate the non-linear and synergistic effects of small changes in agent behavior on the entire system (9).
We use the term knowledge work team (26, 27) to refer to small groups of individuals working outside of traditional hierarchical lines of authority on a temporary basis on the types of knowledge-based tasks (28). The purpose of this paper is to examine the role of conflict on the emergence of CI in such teams. We develop a model which links task commitment and trust to conflict and ultimately to CI. Next, we briefly introduce the study design and results for revealing the mechanism of how trust works in group interaction (trust-based communication), and based on which to explain why some groups are more collectively intelligent than others (more details see SI Appendix S4 and S5).

Fig. 1: Framework trust Influences Collective Intelligence through Group Interaction Across Different Task Difficulty and Trust Also Generates and Varies in Group Interaction. Two Progressive Computational Experiments were Conducted. Experiment 1 Follows the Route $1 + 3 + 4$ and Experiment 2 Follows the Route $1 + 2 + 3 + 4$
## II. STUDY DESIGN
It has been demonstrated that collective intelligence emerges through group interaction. In knowledge work team context, this process involves interpersonal interaction such as knowledge transfer, exchange and share among members and is moderated by the task difficulty (route 3+4 in Fig.1). As mentioned above, existing agent-based experiment on the emergence of CI was conducted in assumption of "perfect communication". However, studies in sociology, psychology and social psychology have shown that group interaction processes such as cooperation, knowledge exchange, are closely related to trust (29-31), and that differences in trust evolution lead to differences in the effectiveness of knowledge exchange (30). Thus, this paper introduces trust into the group interaction process and argues that the interpersonal interaction between members is based on "trust-based communication". Trust plays a significant role in transferring knowledge during the group interaction process (relationship 1 in Fig.1). Moreover, trust is also an important product of the interaction and evolves as it proceeds (relationship 2 in Fig.1). The interaction between psychology and behavior makes the whole process complex and uncertain. Therefore, two progressive computational experiments were designed to investigate how the function of trust influences CI through group interaction (route $1 + 3 + 4$ in Fig.1) and further investigate how the combination of trust's generation and function influences CI (route $1 + 2 + 3 + 4$ in Fig.1).
We designed the experiment based on Carletti's work (1), adding an important factor-trust. We detailed the interaction process through trust-based communication instead of perfect communication. The new challenge is that trust generates in the group interaction process and in turn influences knowledge transfer when members communicate with each other. We describe this process with trust-based group interaction as shown in supplementary materials (SI Appendix, S1.5). Previous studies have revealed that, in interacting groups, task complexity moderates CI generation (1, 5). Thus, we aim to examine not only if, but also how trust influences the emergence of CI across different task complexity (or task difficulty). Towards this end, two progressive computational experiments were conducted. Experiment 1 investigates whether trust have an impact on the formation of collective intelligence. Experiment 2 investigates whether and how the combination of trust's generation and function influences the emergence of CI. Both experiments are conducted under various settings (team scale $M$, task difficulty $\tau$, knowledge dimension $D$, tent knowledge distribution parameter $\theta$, and team knowledge range, see Appendix S3).
## III. RESULTS
Results of Experiment 1: Fig. 2 shows the results obtained using "trust-based communication". And the results indicated that different levels of trust do have an impact on the formation of collective intelligence. As shown in the left panel of Fig. 2, the curve reflects the variation of collective intelligence across different task difficulties at IT = 1, which corresponds to the "perfect communication" in Carletti's study (1). Our results support their findings. Further, the results of varying the different trust levels are shown in the right panel of Fig. 2. The significant difference between the curves indicated that different levels of trust had different impact on the results and suggest that trust does affect the formation of CI. It is also found that the shape of each curve has a high similarity, i.e., each curve shows a "bell-like shape" across different trust levels. So we argue that there may exist a regularity in the influence of trust on the formation of CI. Furthermore, we can also find that when the team formed collective intelligence, the maximum CI tends to increase with the boosting of trust level, which indicates that the dynamic change process of trust may affect the formation of CI. So the following experiment results will interpret the effect of trust dynamic on the emergence of CI.

Fig. 2: Function of trust and collective intelligence (CI). Both panels show the relation- ship between trust and CI across different task difficulties. In the left panel, each trust between two members is fixed at 1 which corresponding to the perfect communication (1). In the right panel, each trust between two members is fixed at -1, -0.5, 0, 0.5, 1 respectively which corresponding to the trust-based communication. The results generated in the experimental settings of team scale $M = 5$, task difficulty $r$ [0, 1], knowledge dimension $D = 5$, tent knowledge distribution parameter $\beta = 1$, and team knowledge range indicating that any agent $i'$ any $j$ type of knowledge $kj$ ( $A_i$ ) is in [0, 1]. See SI Appendix, section S3, for details and SI Appendix, Figs. S5-S7, for more results under various settings
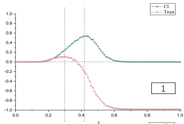
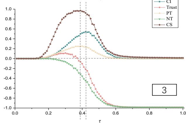
Results of Experiment 2: As shown in panel 1 of Fig. 3, with the increasing of task difficulty $(\tau)$, the collective intelligence (CI) first remained constant at 0, then increased and then decreased, and finally remained constant again at 0. The overall pattern of the CI was "bell-like shaped", which was extremely similar to the shape of the CI got in Experiment 1. It was also found that as the task difficulty increased, trust first remained constant at 0, then increased and then decreased to 0, then decreased further, and finally remained constant at around -1. The overall pattern shows an "inverse S-shape". We can also find that CI did not reach the maximum when the trust was maximum, while when the CI was maximum, the team corresponded to a certain degree of negative trust. To explore the intrinsic influence characteristics, trust was further analyzed by statistically separating positive trust (PT) and negative trust (NT).
As can be seen in panel 2 of Fig. 3, when the CI is maximum, not all members' trust is negative, while positive and negative trust coexist. This coexistence indicates that some members' expectations are met while others' are not. So we can infer that the trust formation process among individuals are different, which leads to the formation of trust in team level a complex and multi-level process. Therefore, the influence of trust on CI is also complex and is an emergent relationship. In order to reveal this emergent relationship, further analysis of its intrinsic mechanism is needed.
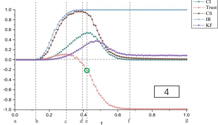
As shown in panel 3 of Fig. 3, with the increasing of task difficulty, collective satisfaction first remains constant at a value of 0, gradually increases to maximum, then decreases, finally remains constant again and approaches a value of 0. The trend of collective satisfaction is very similar to that of positive trust (PT). The satisfaction degree of individual expectation drives changes in dyadic trust between individuals, so, at the overall team level, collective satisfaction (CS) also affect interpersonal trust. However, between the zone of two dashed lines, both CS and trust keep decreasing with increasing task difficulty, but CI still keeps increasing. A counterintuitive phenomenon emerged, and further analysis is needed to better explain this phenomenon. Thus we take interaction rate (IR) and knowledge flow (KF) into account additionally. IR indicates the percentage members participating in the interaction and KF indicates the amount of knowledge transferred during the interaction.
As show in panel 4 of Fig. 3, further exploration of the IR and the KF revealed that the relationship between the influence of trust on collective intelligence can be divided into six phases.
1. During the a-b phase, trust had no significant effect on CI. As the task difficulty increased, both CI and trust remained constant and maintained at the value of 0. The task in this phase is extremely simple, and members can complete it by their own knowledge alone. So all members had no knowledge need and thus did not develop motivation or behavior to acquire knowledge. The team existed no interpersonal interaction, so either interaction rate (IR) or the knowledge flow (KF) is 0. The absence of interpersonal interaction means that no expectations are formed, so trust did not generate between members, thus the trust is 0. At the same time, no satisfaction with expectations is formed, so the collective satisfaction (CS) is also 0. Since the members did not need to exchange knowledge through interpersonal interaction and could complete the task independently, no collective intelligence emerged and the CI is 0.
2. During the b-c phase, the increase of trust promotes Cl. As the task difficulty increased, some part of members could not complete the task by their own knowledge alone. So they expected to obtain knowledge from other teammates and generated knowledge need. The knowledge need further transformed into the motivation of seeking knowledge and generating interpersonal interaction behavior. The success of knowledge transfer leads to the satisfaction of members' knowledge need, so CS keeps increasing and knowledge flow (KF) keeps improving. At this time, the expectations of members can also be rewarded and satisfied, which promotes the generation of positive trust among individuals and makes trust improve continuously. In turn, the improvement of trust promotes the increase of KF, which further ensures that more knowledge needs can be satisfied. Thus, collective satisfaction and trust promote each other, and both of them show an increasing trend. It is also the mutual promotion of the two that leads to the smooth knowledge transfer, which makes more members participate in the interaction and bring into play the advantage of the overall complementary knowledge of the team, thus promoting the emergence of Cl.
3. During the c-d phase, the CI was gradually increasing despite the decreasing trust. As the task difficulty increased, the knowledge acquired by
some members does not reach the expected level, making the trust decrease. However, CS is increasing, indicating that the knowledge needs of most members were still met. At the same time, the increase in IR and KF indicates that knowledge can flow effectively among members, and members keep learning and digesting the acquired knowledge, further transforming it into their own ability. Thus they can complete tasks that they could not solve before, reflecting the advantage that the team can keep learning, so the CI is improving.
4. During the d-e phase, trust continues to decrease while CI is still increasing. With the further increase of task difficulty, more and more members could not complete the assigned tasks. So they need more knowledge, while the fact turned out contrary to their desire, which made CS further decrease. The decrease of CS caused the expectation not to be met, which lead trust to decrease or even turn negative. However, in this case, the generation of negative trust stimulated the need of members to acquire knowledge from others and enhanced their motivation to seek knowledge. This stimulation in turn increases IR and enables knowledge to flow among members more effectively, so that the KF keeps increasing. Thus, the active participation of all team members is mobilized, and the wisdom of all members is gathered, thus promoting the continuous improvement of CI. From this perspective, the stimulation of appropriate negative trust is beneficial to the emergence of CI. 0
5. During the e-f phase, the reduction of trust inhibited CI. The knowledge needs of most members could not be met due to the further increase in task difficulty, leading to a rapid decline in CS. A large amount of negative trust was generated among members, leading to a rapid decrease in trust, which severely hindered interpersonal interactions among members. Though the whole team was already involved in the interaction process $(\mathsf{IR} = 1)$ and was able to transfer knowledge flow $(\mathsf{KF} > 0)$, it was still unable to complete the task, causing the team to continuously disintegrate and resulting in a decreasing CI.
6. During the f-g phase, trust has no significant effect on CI. As the task difficulty reached hardest, both trust and CI kept constant, with trust remaining around -1, CI remaining around 0, and CS also remaining around 0. The task at this phase is extremely difficult, and the knowledge required for the task is much greater than the knowledge level of the members. No matter how all members fully interact with each other, the task cannot be completed. Neither the knowledge needs nor the respective expectations of members could be met, which makes the members distrust each other. Both trust and KF reached minimum levels. At this time,
the task cannot be completed regardless of whether a team is formed, so the CI is 0.
From an overall perspective, though CI is 0 in both a-b and f-g phase, the inner mechanism that produces this phenomenon is different. This difference can be explained through the variation process of trust. The trust of the former is 0, indicating that the task can be completed without interpersonal interaction, which is why CI does not emerge. While the trust of the latter is -1, indicating that the task cannot be completed even with sufficient interaction, which is why CI does not emerge. (See SI Appendix S4 for the relationship between CI and trust in different settings) From panel 4 of Fig. 3, we can also see that the formation and changes of CS, trust and CI are not synchronized. Firstly, the changes of CS affected how trust varied, and the changes of trust in turn affected CS,
and the two will interact with each other and eventually affect CI. It is not difficult to find that when trust is maximum, CI does not reach the maximum; and when CI reaches the maximum, trust is negative. Examination of our definition of trust indicates that there is a certain level of trust conflict in the team when CI reaches the maximum. But it is not as long as there is conflict that the team can emerge collective intelligence. For example, at the c-f phase in panel 4 of Fig.3, trust keeps decreasing in negative level, indicating that the team is in a state of conflict, but CI didn't emerge. It suggests that only appropriate trust conflict can promote the emergence of CI. At the intersection point of E line and trust in panel 4 of Fig. 3, the CI reaches the maximum, and the trust level at this intersection point can be called "Best Trust Conflict" (BTC).
$$
M = 1 0, D = 2 0, \beta = \frac {2}{3}, k _ {j} \left(A _ {i}\right) \in [ 0. 2, 0. 8 ]
$$




Fig. 3. Combination of trust's generation and function and collective outcomes. Panel 1 shows the variation of trust and collective intelligence (CI) across different task difficulties. Panel 2 adds the variation of positive trust (PT) and negative trust (NT) additionally compared with panel 1. Panel 3 adds the variation of collective satisfaction (CS) additionally compared with panel 2. In panel 4, PT and NT are replaced with interaction rate (IR) and knowledge flow (KF) compared with panel 3. The results generated in the experimental settings of team scale $M = 10$, task difficulty $\tau$ [0, 1], knowledge dimension $D = 10$, tent knowledge distribution parameter $\beta = 2$, and team knowledge range indicating that any agent $i$ 's any $j$ type of knowledge $kj(Ai)$ is in [0.2, 0.8]. See SI Appendix, section S3, for details and SI Appendix, Figs. S8-S13 for more results under various settings
## IV. DISCUSSION
This study extends research on group problem solving and group conflict by exploring the mechanisms of collective intelligence emergence in teams, using the trust-based group interactions to advance this work. Thus, rather than simply emphasizing how knowledge, trust, and collective intelligence change, we focus on how the entire problem-solving process evolves based on group interaction, and how trust influences the emergence of collective intelligence during the knowledge transfer, thereby facilitating knowledge work teams to solve complex problems.
Trust has an impact on CI in two ways: on the one hand, trust affects knowledge transfer and thus CI; on the other hand, trust affects the number of people involved in communication and thus CI.
Stimulated by the task, team members produce knowledge needs, and then generate the motivation and behavior of seeking knowledge, finally prompting interpersonal interactions among members to acquire knowledge. Thus the knowledge is transferred between members and knowledge flow generates in the team. In knowledge transfer process, members form expectations and satisfaction with others based on the availability of knowledge flow, which in turn generates and modifies trust. Positive trust is formed when the acquired knowledge satisfies expectations, and the accumulation of positive trust promotes members to transfer more knowledge. The effective knowledge transfer increases knowledge flow, improves collective satisfaction, and further promotes trust generation, forming a positive feedback mechanism (Fig. 4 lower cycle). On the other hand, though the increase of trust is conducive to improving the knowledge transfer, it may form path dependence among members, which makes interpersonal interaction just limited to a few people and prevents more members from participating in group interaction. This path dependence diminished the proportion of participants in the team and reduced the opportunity to acquire knowledge, which hindered the knowledge flow and forms a negative feedback mechanism (Fig. 4 upper cycle).
As can be seen in Fig. 4, the two cycles generate two feed-back mechanisms in the team. The increasing task difficulty stimulates members to create more knowledge needs and drives the interpersonal interaction. If the expected knowledge needs of members can be satisfied, trust will increase. On the one hand, this increase in trust triggers positive feedback mechanism, which leads to increase in knowledge flow, satisfaction and trust. And on the other hand, negative feedback mechanism is triggered concurrently, which forms path dependence and leads to decrease in knowledge flow, satisfaction and trust.
Conversely, if members' expected knowledge needs are not met, trust will decrease, and both positive and negative feedback mechanisms will be triggered. Thus, whether trust increases or decreases, both feedback mechanisms work simultaneously, resulting in further changes in trust, which in turn trigger new positive and negative feedback mechanisms. It is in these two cycles that harmony and conflict interact and various factors cause and effect each other, promoting the development of the team and making the CI emerge.
Trust explains the collective dynamics. Both positive and negative feedback mechanisms allow us to better understand how trust influences the emergence of collective intelligence. In the positive feedback mechanism, trust acts as a "valve" that controls the knowledge channels by influencing the amount of knowledge flowed, which in turn affects Cl. In the negative feedback mechanism, trust acts as a "bridge" that connects each knowledge source by influencing the number of people involved in the group interaction, which in turn affects Cl. Therefore, when most members have positive trust, their interactions are prone to path dependence and some members may always be absent to group interaction, which is not conducive to bringing out the maximum Cl of the team. From this perspective, a certain degree of negative trust may stimulate the team to mobilize its vitality and finally improves the emergence of Cl. However, when there is too much negative trust, it will seriously hinder the flow of knowledge, which is harmful to the emergence of Cl. Our results are consistent with the view of conflict theory that appropriate conflict is beneficial to team performance and team development (18). Thus, there is a suitable ratio of positive and negative trust to form the "best trust conflict", so that the Cl can emerge the maximum in team.
Our study findings are as follows- (1) Trust has an impact on the emergence of collective intelligence in knowledge work teams. This impact is non-linear, and the two show a symbiotic evolutionary relationship. (2) This symbiotic evolution is moderated by task difficulty. Only when the team undertakes an appropriately difficult task, trust has a significant effect on collective intelligence and a highest level of collective intelligence emerges. (3) The highest level of collective intelligence does not emerge when the level of trust is highest, but when the collective intelligence peaks, the team corresponds to a certain degree of negative trust, indicating that appropriate trust conflict is conducive to the emergence of collective intelligence. However, excessive trust conflict leads to team dissolution, which is harmful to the emergence of collective intelligence. (4) The inner mechanism of trust's influence on collective intelligence is revealed through positive and negative feedback cycles.
It has been shown that in different periods of team development, the degree of attention to team "results" and "processes" should be different, with more attention to results in the early stages and more attention to processes in the later stages (32). In this paper, the above phenomenon can be explained from the perspective of how trust influences the emergence of collective intelligence. In the early stage of the team, the task is relatively simple and the task can be solved without group interaction. So the management strategy of the team should be result-oriented so as to improve the performance of the team. While in the late stage of the team, especially the knowledge work team, it often deals with some extremely complex tasks. At this time, the team atmosphere is very tense due to the pressure of undeliverable tasks, and the interpersonal trust relationship between members becomes very fragile and generates a great deal of distrust, which makes the trust relationship break down rapidly. Team will disintegrate due to the trust problem if the "results" are pursued persistently. In this situation, if the team can pay more attention to the "process", especially the interpersonal interaction process between members (33), and then improve the trust between members through appropriate management strategies (34), it will help the team to solve the task, improve performance, and even promote the emergence of the collective intelligence.
In addition, the conclusions reached in this study echo the existing research work related to task difficulty, collective intelligence, and problem solving (5). The findings suggest that, on the one hand, when solving generally complex problems, teams are able to distribute work, share information, and correct errors, thereby facilitating problem solving. On the other hand, when tasks become more complex, teams may lead to idleness, slackness, and interpersonal conflict, which can be detrimental to problem solving. From the perspective of trust-based group interaction, when the team solves the general complex problems, knowledge transfer can be smoothly carried out among members (sometimes the task can be completed without communication). Most members' knowledge needs can be satisfied, thus the formation of trust is promoted, which in turn is conducive to the emergence of collective intelligence and ultimately contributes to problem solving. When the task becomes more complex, the knowledge needs of the members cannot be mutually satisfied. This dissatisfaction deteriorates the trust relationship and generates a lot of distrust among team members, leading to the conflict and disintegration in the team and finally hindering the emergence of collective intelligence that is detrimental to the completion of the task.
In summary, this paper investigates the emergence of collective intelligence through the conflict caused by trust. First, our ABM experiment reproduces the phenomenon that simple and difficult tasks are not conducive to the formation of collective intelligence, while appropriate task difficulty is conducive to the formation of collective intelligence. Furthermore, our study also provides a better explanation underlying this phenomenon through positive and negative feedback mechanisms based on trust, and provides a possible explanation for the contradictory findings of existing studies, e.g. the degree of attention to team "results" and "processes" and the different effect of task difficulty. We discuss how our findings can help create in which situations that trust can foster high CI. In addition, our method for capturing dynamic interaction of psychology and behavior paves the way for researchers to build testable causal theories of CI. Taken together, these findings suggest that the team process most critical for collective intelligence are those that can both control "valve" for smooth knowledge flow and build sufficient "bridge" for group interaction. In other words, trust-based positive and negative feedback mechanisms need to be well coordinated to address the appropriate level of conflict. And whether exists an optimal level of trust-based conflict for the emergence of collective intelligence is to be further explored in future studies.
 Fig. 4: Inner Mechanism between Trust and Collective Intelligence
## V. METHODS
This study involved two progressive computational experiments. We developed a representation of human behavior in computer simulations. The model was implemented as an agent-based simulation embodying stylized behaviors. We used Anylogic (Anylogic 6.9) to develop our codes for the
ABM. In this way, we have a full control on the whole framework and we can adapt it at our will. The core of the ABM is using Anylogic agent-based modeling; such main module is the used by varying the several parameters to perform the numerical simulations presented in the work. A simulation is comprised up of M agents that completes after some number of rounds when all the tasks have been processed (whether solved or not). A simulation begins with a serious of tasks for agents to explore. Each agent is given some state of initial knowledge (e.g., tent distribution). If an agent can not solve the task alone, he/she will make an interaction with others and request for transferring knowledge. At the end of interaction, the agent will learn the knowledge transferred.
- Team Modeling: We regarded team as a complex adaptive system, the input is task across different complexity, output is collective intelligence, trust and interaction related results. The team's target is to solve the tasks. Team members are adaptive agents whose behavior is influenced by trust and who adjust their behavior according to the trust relationship and history interaction with other teammates.
- Agent Behavior: When an agent accepts tasks, he/she judges as to whether he can complete them. If he/she can, then he/she will finish the tasks and the whole process ends. Otherwise, he/she judges whether interaction object remains. If no one remains, he/she will abandon the tasks and the whole process ends. Otherwise, he/she will seek others for help and select an interaction object. Then he/she engages in the interpersonal interaction process. At the end of the interaction each agent had learnt the knowledge value on the topics under discussion from the teammates. The knowledge value learnt is based on the trust between teammates. After this interaction he/she reconsiders whether he/she can complete the tasks. If he/she still can't, then he/she will select another object for interpersonal interaction. Otherwise, he/she will finish the tasks and the whole process ends.
- Trust Modeling: As in small group, there will be frequent interpersonal interactions between agents. Thus, the trust between agents comes from the direct interaction. Our trust model is partly grounded on the direct trust of Das' Secured Trust model (35) and contains four processes: (1) formation of expectation, (2) generation of trust, (3) accumulation of trust, and (4) effect of trust. (SI Appendix S2)
### ACKNOWLEDGMENTS
This work was partly supported by the National Natural Science Foundation of China under Grant No.72231010.
Competing interests: The authors declare no competing interest.
Generating HTML Viewer...
References
35 Cites in Article
Timoteo Carletti,Alessio Guarino,Andrea Guazzini,Federica Stefanelli (2020). Problem Solving: When Groups Perform Better Than Teammates.
Szuba (2001). A formal definition of the phenomenon of collective intelligence and its iq measure.
Woolley,Chabris,N Pentland,Hashmi,Malone (2010). Evidence for a collective intelligence factor in the performance of human groups.
André Boder (2006). Collective intelligence: a keystone in knowledge management.
Abdullah Almaatouq,Mohammed Alsobay,Ming Yin,Duncan Watts (2021). Task complexity moderates group synergy.
Christoph Riedl,Young Kim,Pranav Gupta,Thomas Malone,Anita Woolley (2021). Quantifying collective intelligence in human groups.
Melanie Peter-Wight,Mike Martin (2011). When 2 is Better Than 1 + 1.
Surowiecki (2005). <i>The Wisdom of Crowds</i> by James Surowiecki (2005, Anchor Books), Reviewed by Steve Gladis.
Charles Gomez,David Lazer (2019). Clustering knowledge and dispersing abilities enhances collective problem solving in a network.
J Bernstein,D Shore,Lazer (2018). How intermittent breaks in interaction improve collective intelligence.
Denise Rousseau,Sim Sitkin,Ronald Burt,Colin Camerer (1998). Not So Different After All: A Cross-Discipline View Of Trust.
René Schalk,Petru Curşeu (2010). Cooperation in organizations.
Abdullah Almaatouq,Alejandro Noriega-Campero,Abdulrahman Alotaibi,P Krafft,Mehdi Moussaid,Alex Pentland (2020). Adaptive social networks promote the wisdom of crowds.
E Van De Vliert,C De Dreu (1997). Using conflict in organizations.
Deutsch (1973). The resolution of conflict: Constructive and destructive processes.
Ka Jehn (1994). Enhancing effectiveness: An investigation of advantages and disadvantages of value-based intragroup conflict.
Ka Jehn (1995). A multimethod examination of the benefits and detriments of intragroup conflict.
; Year,E Ka Jehn,Mannix (2001). The dynamic nature of conflict: A longitudinal study of intragroup conflict and group performance.
S Pl Cur ̧seu,Schruijer (2010). Does conflict shatter trust or does trust obliterate conflict? Revisiting the relationships between team diversity, conflict, and trust.
Gh Han,Harms (2010). Team identification, trust and conflict: a mediation model.
Rs Peterson,Behfar (2003). The dynamic relationship between performance feedback, trust, and conflict in groups: A longitudinal study.
Niki Panteli,Siva Sockalingam (2005). Trust and conflict within virtual inter-organizational alliances: a framework for facilitating knowledge sharing.
John Holland (1992). Adaptation in Natural and Artificial Systems.
John Holland (2000). Emergence From Chaos to Order.
H Mcgrath,Arrow,Berdahl (2000). The study of groups: Past, present, and future.
Anita Woolley,Means Vs (2009). Means vs. Ends: Implications of Process and Outcome Focus for Team Adaptation and Performance.
J Bd Janz,R Colquitt,Noe (1997). Knowledge worker team effectiveness: The role of autonomy, interdependence, team development, and contextual support variables.
Niclas Erhardt (2011). Is it all about teamwork? Understanding processes in team-based knowledge work.
Gareth Jones,Jennifer George (1998). The Experience and Evolution of Trust: Implications for Cooperation and Teamwork.
R Dz Levin,Cross (2004). The strength of weak ties you can trust: The mediating role of trust in effective knowledge transfer.
Mcallister (1995). Affect-and cognition-based trust as foundations for interpersonal cooperation in organizations.
Anita Woolley (2009). Putting first things first: Outcome and process focus in knowledge work teams.
Anita Woolley,Ishani Aggarwal,Thomas Malone (2015). Collective Intelligence and Group Performance.
Morten Hansen,Hajnalka Vaagen,Kim Van Oorschot (2020). Team Collective Intelligence in Dynamically Complex Projects—A Shipbuilding Case.
Das,Islam (2012). Securedtrust: a dynamic trust computation model for secured communication in multiagent systems.
No ethics committee approval was required for this article type.
Data Availability
Not applicable for this article.
How to Cite This Article
Deqiang Hu. 2026. \u201cHow Trust Influences the Emergence of Collective Intelligence? A Group Dynamic Perspective\u201d. Global Journal of Computer Science and Technology - G: Interdisciplinary GJCST-G Volume 23 (GJCST Volume 23 Issue G2): .
Explore published articles in an immersive Augmented Reality environment. Our platform converts research papers into interactive 3D books, allowing readers to view and interact with content using AR and VR compatible devices.
Your published article is automatically converted into a realistic 3D book. Flip through pages and read research papers in a more engaging and interactive format.
Collective intelligence (CI) is critical for groups to solve a variety of problems. Such emergent property of the group as a whole is the result of group interaction processes that may inevitably lead to different cognition, collaboration and relationship between individuals, even conflict within group. A key question concerning problem solving is whether and how conflict influences the emergency of collective intelligence. Here, we used trust and distrust to indicate harmony and conflict state of the group. We utilized agent-based modeling to examine the emergent outcomes resulting from trust-based group interaction. Our results support the conclusion that CI emerges in moderate task complexity conditions. We further showed that the maximum level of CI is predicted by distrust. We also found that trust-based positive and negative feedback mechanism worked simultaneously in group problem solving process.
Our website is actively being updated, and changes may occur frequently. Please clear your browser cache if needed. For feedback or error reporting, please email [email protected]
Thank you for connecting with us. We will respond to you shortly.