The mathematical model of an adaptive matching device is presented, taking into account the deviation of the load impedance and the parameters of the matching circuit, based on this mathematical model, an adaptive matching device was synthesized for the AD-25/CW-3512 broadband antenna, which made it possible to reduce the loss of the power transmission coefficient level from the input (output ) of the path to the AC and increase the potential range of the radio link from 2 to 15% in the framework of the presented experimental studies.
## I. Введение
Проектирование высокочастотных приемо-передающих трактов с оптимальными частотными характеристиками, несомненно, является одной из важнейших радиотехнических задач. Значимость этой задачи возрастает в связи с освоением новых диапазонов частот и использованием в современных системах радиолокации, радионавигации, телевидения и мобильной связи сигналов со сложной структурой. В системах радиосвязи, обладающих исключительно большим значением в организации устойчивого управления войсками в условиях современного боя, для обеспечения связи личного состава воинских подразделений наблюдения, разведки, сил специальных операций и сухопутных войск, а также должностных лиц тактического звена управления, используются радиостанции VHF/UHF диапазонов, позволяющие функционировать в широком спектре частот(30-300 МГц)в различных условиях эксплуатации[1, с. 5–8]. В то же время следует заметить, что изменение условий эксплуатации приводит к изменению импеданса антенного устройства (АУ) и соответственно к изменению уровня передачи мощности между приемо-передающими модулями (ППМ) и антенной[2]. Это уменьшает потенциальные возможности радиостанций, в том числе потенциально достижимую дальность радиолинии[3]. Таким образом, актуальной является задача разработки устройств, позволяющих решить задачу обеспечения оптимальной работы радиотехнических систем (РТС) связи в различных условиях их эксплуатации.
### a) Постановка задачи
В предыдущих публикациях на основании разработанной методики синтеза согласующих устройств (СУ) с учетом отклонения импеданса нагрузки была синтезирована цепь согласования для АУ AD-44/CW-TA-30-512, обеспечивающая уровень передачи мощности не менее 0,9 в различных условиях эксплуатации[3]. Однако использование представленного подхода для синтеза подобного рода цепей применительно к АУ AD-25/CW-3512 не представляется возможным. Дело в том, что реальная составляющая импеданса АУ AD-25/CW-3512 изменяется в диапазоне от 10 до 160 Ом[2]. В таких случаях положительный эффект функционирования может быть гарантирован только при наличии в системе адаптации[3]. Таким образом, целесообразно разработать СУ для АУ AD-25/CW-3512 адаптивное к изменению импеданса нагрузки и обеспечивающее требуемый уровень передачи мощности в различных условиях эксплуатации, в рабочем диапазоне частот.
### ь) Результаты экспериментального исследования по влиянию изменений условий эксплуатации на импеданс антенного устройства AD-25/CW-3512
В работе [2] были проведены экспериментальные исследования, показывающие вариации импеданса Ay B различных условиях эксплуатации носимых радиостанций (в помещении, в лесном массиве, в непосредственной близости с техникой, а также в безэховой камере). Результаты экспериментального исследования представлены на рисунке 1 в виде зависимостей реальной и мнимой составляющих импеданса нагрузки от частоты (полосы частот выбраны в соответствии с диапазонами работы радиостанции Р-181[4]) для различных условий эксплуатации.


а б Рисунок 1: Зависимость изменения активной (а) и реактивной $( \bar { \omega } )$ частей импеданса антенны AD-25/СW-3512 в рабочей полосе частот:
1 – в экранизированной безэховой камере; 2 – в помещении; 3 – в лесном массиве; 4 – в непосредственной близости с техникой
Анализируя полученные результатов можно сделать определенные выводы:
- изменение условий эксплуатации приводит к изменению импеданса АУ относительно эталонного значения (в безэховой камере). Значительное изменение активной и реактивной составляющих импеданса АУ АD-25/CW-3512 наблюдается в помещении;
- существенное изменение импеданса приводи к изменению функции коэффициента передачи по мощности (КПМ), особенно это наблюдается в 2-6 диапазонах работы радиостанции(рисунок 2), несмотря на то, что АУ согласованно на линию с сопротивлением в 50 Ом[5].

Рисунок 2: Зависимость коэффициента передачи по мощности антенны АD-25/CW-3512:
1 – в экранизированной безэховой камере; 2 – в помещении; 3 – в лесном массиве; 4 – в непосредственной близости с техникой
Кроме импеданса нагрузки и уровня КПМ в экспериментальном исследовании было рассмотрено влияние условий эксплуатации на дальность радиосвязи, потенциальные ВОЗМОЖНОСТИ которой МОЖНО оценить с помощью дальности радиолинии [6, с. 215]. В связи с тем, что работа посвящена уменьшению потерь передаваемой энергии полезного сигнала, расчет дальности радиолинии осуществлялся при условии,что все параметры радиостанции остаются неизменными, за исключением мощности передачи полезного сигнала от ППМ к АУ. Исходя из [2], изменение передачи мощности (рисунок 2) приводит к уменьшению дальности радиолинии на $15,8 – 22,2\%$, что может привести к потере связи между подразделениями. Таким образом, полученные результаты подтверждают актуальность поставленной задачи.
### с) Математическая модель согласующего устройства адаптивного к изменению импеданса нагрузки
Под адаптивным устройством согласования комплексной нагрузки с радиотехническим устройством понимают систему с отрицательной обратной связью (рисунок 3), анализирующую качество согласования и подстраивающую свои элементы в сторону улучшения согласования [4].

Рисунок 3: Структурная схема адаптивного согласующего устройства
Работа представленной схемы (рисунок 3) осуществляется следующим образом. Появление нежелательного отклонения (уровня КПМ, коэффициента стоячей волны (КСВ) и т. д.) обнаруживается и его значение измеряется. После чего приводятся в действие органы (перестраиваемые элементы адаптивного широкополосного согласующего устройства (ШСУ), устраняющие отклонения путем соответствующего изменения значения управляемой величины. Следует отметить, что использование принципа обратной связи, при построении динамической системы, характеризуется простотой измерения отклонения исследуемой характеристики. При этом наибольший недостаток обратной связи (срабатывание после появления отклонения) устраняется путем многоразового измерения исследуемой характеристики.
В общем случае адаптивное ШСУ можно разбить на три составляющие (рисунок 3):
- измерительное устройство, предназначенное для измерения входных (выходных) параметров нагрузки (импедансные характеристики);
- —управляющее устройство, преобразующее по определенному алгоритму информацию с измерительного устройства и формирующее команды исполнительному устройству;
- исполнительное устройство, предназначенное для изменения величин элементов согласующей цепи по команде управляющего устройства.
Из [5, с 138] следует, что для синтеза адаптивной системы необходимо выбрать, на основании заданных технических требований к качеству работы системы, критерии оптимальности.Так как основное предназначение системы является обеспечение требуемого уровня передачи мощности при наличии изменяющегося импеданса нагрузки, то необходимо определить оптимальное значение параметров широкополосного согласующего устройства (ШСУ), при котором суммарная среднеквадратичная ошибка уровня КПМ по отношению к требуемому значению будет минимальна [5 с. 136], т. е.:
$$
\int_ {f _ {\mathrm {H}}} ^ {f _ {\mathrm {B}}} \left[ K (f) _ {\mathrm {t p e} 6} - K \left(f, Z _ {\mathrm {H}}, Z _ {\mathrm {c H}}\right)\right] ^ {2} d f \rightarrow \min , \tag {1}
$$
где к (f те – требуемый уровень передачи мощности в нагрузку;
$$
K \left(f, Z _ {\mathrm {H}}, Z _ {\mathrm {c i}}\right) = 1 - \left| S _ {i n} \left(f, Z _ {\mathrm {H}}, Z _ {\mathrm {c i}}\right) \right| ^ {2} - \phi \mathrm {y h k i n j a r K I M};
$$
$S _ { i n } \left( f, Z _ { \mathrm { { \scriptscriptstyle H } } }, Z _ { \mathrm { { \scriptscriptstyle G I } } } \right) = \frac { Z _ { \mathrm { { \scriptscriptstyle H } } } \left( f \right) - Z _ { \mathrm { { \scriptscriptstyle G I } } } \left( - f \right) } { Z _ { \mathrm { { \scriptscriptstyle H } } } \left( f \right) + Z _ { \mathrm { { \scriptscriptstyle G I } } } \left( f \right) } - \Phi \mathrm { { y H K I I H } } \mathrm { { \scriptscriptstyle A } } \mathrm { { \scriptscriptstyle G O } } 3 \phi \Phi \mathrm { { H } } { \mathrm { { \scriptscriptstyle I I H } } \mathrm { { \scriptscriptstyle H } } \mathrm { { \scriptscriptstyle G e } } \mathrm { { \scriptscriptstyle T r a } } \mathrm { { \ o r p a } } \mathrm { { \scriptscriptstyle K e } } \mathrm { { \scriptscriptstyle H } } \mathrm { { \scriptscriptstyle A } } \mathrm { { \scriptscriptstyle \mathrm { \scriptscriptstyle G e } } } 3 \phi },$
- fн, в – верхняя и нижняя частота рабочего диапазона;
- Zн(f) – комплексное сопротивление нагрузки;
- $Z _ { \mathrm { c u } } ( f ) -$ комплексное сопротивление согласующего устройства.
В [3] было установлено, что для обеспечения требуемого уровня передачи мощности при наличии изменяющегося импеданса нагрузки необходимо, чтобы синтезируемое СУ обладало свойством минимальной чувствительности [9, с.51] функции коэффициента отражения к изменению параметров нагрузки. В виду того, что импеданс нагрузки будет рассматриваться как измеренное значение реальной (Real[Z_H(f)]) и мнимой части (Imag[Z_H(f)]) комплексного сопротивления на дискретном ряде частот, то выполнение поставленной задачи (расчета функции чувствительности) предлагается выполнять с помощью статистического метода анализа [9]. Этот метод применим к случайным величинам, в частности к отклонениям параметров нагрузки от номинального значения внутри поля допусков [10, с. 156]. Знание функции чувствительности, характеризующей степень влияния элементов на характеристики схемы, позволяет с определенной вероятностью [10, с.157] найти среднеквадратичное отклонение (СКО) модуля функции коэффициента отражения, рассчитанного по формуле:
$$
\sigma_ {\left| s _ {i n} \right|} ^ {2} = \left| S _ {Z _ {\mathrm{H}}} ^ {\left| S _ {i n} \right|} \right| ^ {2} \sigma_ {Z _ {\mathrm{H}}} ^ {2} \left(\frac{\Delta Z _ {\mathrm{H}}} {Z _ {\mathrm{H}}} \right) ^ {2},
$$
гдеσz2 $\Gamma \mathrm { / I e } { \sigma _ { Z _ { \mathrm { H } } } } ^ { 2 } \left( \frac { \Delta Z _ { \mathrm { H } } } { Z _ { \mathrm { H } } } \right) - \mathrm { C K O }$ импеданса нагрузки;
$\Delta Z _ { \mathrm { H } }$ -допустимое отклонение импеданса нагрузки;
$$
S _ {Z _ {\mathrm{H}}} ^ {| S _ {i n} |} = \operatorname{R e} \left[ \frac{2 \operatorname{R e} \left(Z _ {\mathrm{c I I}} (f)\right) Z _ {\mathrm{H}} (f)}{\left(Z _ {\mathrm{H}} (f) + Z _ {\mathrm{c I I}} (f)\right) \left(Z _ {\mathrm{H}} (f) - Z _ {\mathrm{c I I}} (f)\right)} \right] \quad - \quad \text{Ubtejbhocth} \quad \text{Molylia} \quad \phi \text{yhkinn}
$$
коэффициента отражения к изменению параметров нагрузки[3].
Однако кроме изменения импеданса нагрузки необходимо еще и рассматривать влияние отклонения параметров ШСу от заданного значения, так как для проектирования Су применяются схемные элементы, номиналы которых в процессе эксплуатации могут изменяться [10, c. 146-147].
В качестве примера на рисунке 4 представлены зависимости уровня КПМ от частоты, с учетом отклонения элементов СЦ [19](ряд номиналов Е24 $( \pm 5 ~ \% )$ (рисунок $^ { 4, a }$ и E12 $( \pm 10\% )$ (рисунок 4,6), функционирующей от 47 до 158 МГц. В представленных зависимостях наблюдается изменениеуровня КПМ (рисунок 42, 3) относительно исходной зависимости (рисунок $^ { 4, I }$,при условии, что параметры нагрузки остаются фиксированными.


Рисунок 4: Зависимость КПМ от частоты с учетом отклонения элементов СЦ [19]
Таким образом, полагая, ЧТО отклонение импеданса нагрузки и элементов согласующего устройства, в силу «Центральной предельной теоремы» [11], подчиняется нормальному закону распределения, то дисперсию относительного изменения модуля функции коэффициента отражения можно определить с помощью выражения:
$$
\sigma_ {\mathrm{K}} (f) ^ {2} = \left| S _ {z _ {\mathrm{H}}} ^ {| S _ {i n} |} (f) \right| ^ {2} \sigma_ {Z _ {\mathrm{H}}} ^ {2} + \sum_ {i = 0} ^ {N _ {C}} \left| S _ {c _ {i}} ^ {| S _ {i n} |} (f) \right| ^ {2} \sigma_ {C _ {i}} ^ {2} + + \sum_ {i = 0} ^ {N _ {L}} \left| S _ {L _ {i}} ^ {| S _ {i n} |} (f) \right| ^ {2} \sigma_ {L _ {i}} ^ {2},
$$
где $\sigma _ { z _ { \mathrm { H } } } ^ { 2 } = \Big ( \sigma ^ { 2 } \left\{ \mathrm { R e a l } \big [ Z _ { \mathrm { n s t } } \big ] \right\} + \sigma ^ { 2 } \left[ \mathrm { R e a l } \big \{ Z _ { \mathrm { H } } \left( f _ { i } \right) \big \} \right] \Big ) + j \Big ( \sigma ^ { 2 } \left[ \mathrm { I m a g } \left\{ Z _ { \mathrm { n s t } } \right\} \right] + \sigma ^ { 2 } \left[ \mathrm { I m a g } \left\{ Z _ { \mathrm { H } } \left( f _ { i } \right) \right\} \right] \Big )$ -dисперсия реальной и мнимой составляющих функции сопротивления нагрузки с учетом погрешности измерителя $\left( \sigma ^ { 2 } \left\{ \mathrm { R e a l } \left[ Z _ { _ { \mathrm { M 3 M } } } \right] \right\}, \sigma ^ { 2 } \left\{ \mathrm { I m a g } \left[ Z _ { _ { \mathrm { M 3 M } } } \right] \right\} \right),$;
$$
S _ {L _ {i}} ^ {\left| S _ {i n} \right|} (f) = \operatorname{Re} \left\{\frac{- 4 \left[ 2 Z _ {\mathrm{H}} (f) + \frac{1}{2} \operatorname{Im} \left(Z _ {\mathrm{c i}} (f)\right) \right]}{\left[ Z _ {\mathrm{H}} (f) + Z _ {\mathrm{c i}} (f) \right] ^ {2}} \frac{\partial \operatorname{Re} \left[ Z _ {\mathrm{c i}} (f) \right]}{\partial L _ {i}} - \text{UbtBuntelbHoctb} \quad \text{Modylar}\right\}
$$
функции коэффициента отражения к изменению индуктивности согласующей цепи;
$$
S _ {c _ {i}} ^ {\left| S _ {i n} \right|} (f) = \operatorname{R e} \left\{\frac{- 4 \left[ 2 Z _ {\mathrm{H}} (f) + \frac{1}{2} \operatorname{I m} \left(Z _ {\mathrm{c i}} (f)\right) \right]}{\left[ Z _ {\mathrm{H}} (f) + Z _ {\mathrm{c i}} (f) \right] ^ {2}} \frac{\partial \operatorname{R e} \left[ Z _ {\mathrm{c i}} (f) \right]}{\partial C _ {i}} - \quad \text{Ubctbhtejbhoctb} \quad \text{Modylar} \right\}
$$
функции коэффициента отражения к изменению емкости согласующей цепи; σс,. – СкОноминалов элементов цепи $( \mathrm { E } 24 \{ \pm 5\% \}$, $\mathrm { E } 48 \ \{ \pm \ 2\%$ и т.д.).
Для того, чтобы обеспечить наименьшее влияние изменения импеданса нагрузки и элементов цепи необходимо, чтобы выражение (3) было минимизировано, ограничиваясь при этом номиналами элементов цепи, находящихся в магазине элементов исполнительного устройства $( C _ { \mathrm { m i n } }.... C _ { \mathrm { m a x } }$, $L _ { \mathrm { m i n } }.... L _ { \mathrm { m a x } } )$. Таким образом, критерий оптимальности, может быть представлен следующим выражением:
$$
\left\{\begin{array}{l}\left\{K (f) _ {\mathrm {t p e} 6} - \left[ K \left(f ^ {2}\right) - \sigma_ {K} (f) \right] \right\} ^ {2} \leq \varepsilon \quad f _ {\mathrm {H}} \leq f \leq f _ {\mathrm {B}}\\\sigma_ {K} (f) ^ {2} \rightarrow \min \quad f _ {\mathrm {H}} \leq f \leq f _ {\mathrm {B}};\\C _ {\min } \leq C _ {i} \leq C _ {\max };\\L _ {\min } \leq L _ {i} \leq L _ {\max }\end{array}\right. \tag {4}
$$
где в качестве задаваемых параметров используется допустимое отклонение уровня КПМ ε от требуемого значения.
Использование выражения (4) в качестве целевой функции позволяет уменьшить степень влияния изменения импеданса нагрузки и номиналов элементов Су, в результате чего повышается эффективность работы радиотехнических устройств в различных условиях эксплуатации. В дополнении к этому учет отклонения импеданса нагрузки позволит находить параметры согласующего устройства, обеспечивающие меньшее количество переключений (коммутаций) магазина элементов, что увеличит время наработки на отказ и надежности радиотехнического устройства. Структура адаптивного согласующего устройства (исполнительного устройства) может быть найдена с помощью методики синтеза представленной в [3].
Таким образом, на основании полученных результатов и результатов представленных в [2,3,12-14] была разработана математическая модель адаптивного согласующего устройства, алгоритм расчета параметров которой представлен на рисунке 5.

Рисунок 5: Обобщенный алгоритм расчета параметров математической модели адаптивного согласующего устройства
Суть алгоритма заключается в нахождении ШСу, которое обеспечивает выполнение критерия оптимальности (выражение 4), ограничиваясь при этом допустимым магазином элементов. Достоинство математической модели заключается в предварительном расчете параметров ШСУ, значение которых обеспечивает требуемый уровень передачи мощности в различных условиях эксплуатации радиотехнических устройствине осуществляет поиск значения параметров методом перебора. Еще одно немаловажное достоинство математической модели - способность системы согласовывать нагрузку с радиотехническим устройством не во всей полосе частот, а только в той, где станция работает в текущий момент времени. Это позволяет уменьшить полосу согласования и применять ШСу более эффективно.
Следует отметить, что на практике реактивные элементы неидеальны и обладают резистивным сопротивлением (сопротивлением потерь г). Для его учета используют такой параметр, как добротность $Q$ определяющейся с помощью:
$$
Q _ {L i} = 2 \pi f _ {i} L / r; \tag {5}
$$
$$
Q_{Ci} = 2\pi f_i C r .
$$
В доступной технической документации содержится информация о добротностях номиналов индуктивностей и емкостей на некоторой частоте измерения. Эта информация оказывается полезной не только на этапе моделирования схем, но и на этапе их расчета. Известные величины добротностей, используемых элементов, позволяют рассчитывать параметры СЦ по заданным критериям оптимальности с учетом тепловых потерь и тем самым максимально приблизить характеристики рассчитываемых схем к характеристикам их экспериментальных аналогов.
На основании разработанной математической модели был разработан специализированный экспериментальный комплекс расчета и контроля функционирования согласующих устройств врадиотехнических системах (РТС) (рисунок 6), состоящий из измерительного устройства, устройства управления (программно-имитационная модель) и средства индикации.

Рисунок 6: Специализированный экспериментальный комплекс расчета и контроля функционирования согласующих устройств в РТС
Экспериментальный комплекс позволяет контролировать изменение уровня передачи мощности между трактами РТС вызванных разбросом значений номиналов элементов цепи и вариаций импеданса нагрузки, а также рассчитывать параметры согласующего устройства по заданному критерию, что обеспечивает устойчивую работу РТС в условиях изменяющегося импеданса нагрузки.
### d) Синтез СУ для АУ AD-25/CW-3512 адаптивного к изменяющемуся импедансу нагрузки
На основании поставленной задачи с помощью предложенной математической модели было разработано адаптивное СУ для АУ AD-25/CW-3512. Электрическая схема исполнительного устройства адаптивного СУ, состоящая из шести реактивных элементов, представлена на рисунке 7.

Рисунок 7: Электрическая схема исполнительного устройства адаптивного ШСу
Функция сопротивления, описывающая данное адаптивное ШСУ, выглядит следующим образом:
$$
Z _ {\mathrm {c i i}} (s) = \frac {a _ {0} + a _ {1} s + a _ {2} s ^ {2} + a _ {3} s ^ {3} + a _ {4} s ^ {4} + a _ {5} s ^ {5}}{b _ {0} + b _ {1} s + b _ {2} s ^ {2} + b _ {3} s ^ {3} + b _ {4} s ^ {4} + b _ {5} s ^ {5}}. \tag {7}
$$
Коэффициенты функции числителя (а) и знаменателя $( b _ { i } )$ $Z _ { \mathrm { { c m } } } \left( s \right)$ описываются значениями элементов цепи (L,С,R):
$$
\left\{
\begin{array}{l}
a _ {0} = R; \\
a _ {1} = L _ {3} + L _ {4}; \\
a _ {2} = C _ {1} L _ {1} R + C _ {1} L _ {2} R + C _ {2} L _ {3} R; \\
a _ {3} = C _ {1} \left(L _ {1} L _ {4} + L _ {1} L _ {3} + L _ {2} L _ {3} + L _ {2} L _ {4} + L _ {3} L _ {4}\right) + C _ {2} \left(L _ {2} L _ {3} + L _ {2} L _ {4} + L _ {3} L _ {4}\right); \\
a _ {4} = C _ {1} C _ {2} L _ {1} R \left(L _ {3} + L _ {2}\right); \\
a _ {5} = C _ {1} C _ {2} L _ {1} \left(L _ {3} L _ {4} + L _ {2} L _ {4} + L _ {2} L _ {3}\right).
\end{array}
\right.
\tag {8}
$$
$$
\left\{
\begin{array}{l}
b _ {0} = 0; \\
b _ {1} = C _ {1} R; \\
b _ {2} = C _ {1} \left(L _ {3} + L _ {4}\right); \\
b _ {3} = C _ {1} C _ {2} R \left(L _ {2} + L _ {3}\right); \\
b _ {4} = C _ {1} C _ {2} \left(L _ {3} L _ {4} + L _ {2} L _ {4} + L _ {2} L _ {3}\right); \\
b _ {5} = 0.
\end{array}
\right. \tag {9}
$$
Параметры аналитической математической модели в виде параметров исполнительного устройства,значения которых приведены под ряд номиналов Е24, для рабочих диапазонов частот радиостанции Р-181 представлены в таблице 1.
Таблица 1: Параметры исполнительного устройства адаптивного ШСУ
<table><tr><td rowspan="2">Өлемен
Ты</td><td colspan="9">Диапазонь частOT</td><td></td></tr><tr><td>I
(30-108
MГц)</td><td>II
(108-146
MГц)</td><td>III
(146-174
MГц)</td><td colspan="3">IV
(220-380
MГц)</td><td colspan="2">V
(380-470
MГц)</td><td>VI
(470-512
MГц)</td><td></td></tr><tr><td>C1,ПФ</td><td>200</td><td>200</td><td>62</td><td>2
6</td><td>2
9</td><td>12</td><td>95</td><td>9.5</td><td>15.6</td><td>6</td></tr><tr><td>L1,НГн</td><td>18,6</td><td>66</td><td>4</td><td>-</td><td>-</td><td>-</td><td>-</td><td>-</td><td>-</td><td>3.5</td></tr><tr><td>L2,НГн</td><td>26,21</td><td>-</td><td>-</td><td>-</td><td>-</td><td>11</td><td>-</td><td>7,5</td><td>-</td><td>-</td></tr><tr><td>L3, hΓh</td><td>300</td><td>35</td><td>52</td><td>21</td><td>33</td><td>24</td><td>121</td><td>130</td><td>29</td><td>65</td></tr><tr><td>L4, hΓh</td><td>11,3</td><td>-</td><td>3</td><td>-</td><td>-</td><td>2</td><td>-</td><td>2,5</td><td>7</td><td>28</td></tr><tr><td>C2,ΠΦ</td><td>32</td><td>10</td><td>-</td><td>8</td><td>-</td><td>9</td><td>-</td><td>-</td><td>-</td><td>-</td></tr></table>
« –»-элемент равен нулю и исключается из согласующей цепи
Следует отметить, что принципиальная схема, представленная на рисунке 6, может быть выполнена на реактивных элементах, реле или рип-диодах в SМD исполнении. Устройство управления может быть реализовано Ha ПЛИС ИЛИ микроконтроллере, a измерительное устройство -в виде радиочастотного измерительного моста (микропроцессора). Так, в качестве примера на рисунке 6 представлена 3D модель возможного варианта исполнения разработанного адаптивного согласующего устройства размерами_ $( 52,5 { \times } 42,5 { \times } 2$ MM3) реализованная в среде моделирования радиотехнических устройств СSТ Studiо [15]. Где в качестве реактивных элементов используются SМD элементы 0805 серии, в качестве измерительного устройстваи устройства управления-микропроцессор (1) в корпусе QFР, а в качестве коммутирующих устройств-аналоговые мультиплексоры (2) в корпусе РDИР.


Рисунок 8: Пример 3D модели разработанного адаптивного согласующего устройства
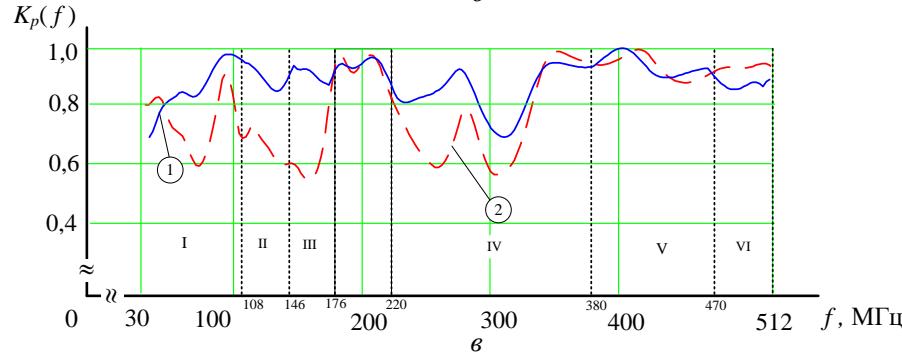
Моделирование синтезированного согласующего устройства проводилось в AWR Microwave Studio 14[16]. Результаты моделирования представлены на рисунке 9 в виде зависимости КПМ от частоты для различных условий обстановки. Прерывистыми линиями показаны КПМ АУ без синтезированного адаптивного ШСУ(2), а сплошными линиями — с синтезированным адаптивным ШСУ(1).



Рисунок 9: Зависимость КIМ от частоты AУ AD-25/CW-3512:
a- в помещении; б- в непосредственной близости с техникой; в- в лесном массиве
Исходя из полученных результатов можно сделать вывод о том, что синтезированное адаптивное ШСу обеспечивает более высокий уровень передачи мощности при работе радиостанции B различных условиях обстановки. Так, при расположении Ау в помещении (наихудший случай) потери уровня КПМ (исходя из [17, с. 36-38]) составляют $39,7\%$ (в II диапазоне) от максимального значения $( 19,7\%$ в дальности радиолинии [6, с. 215], а при использовании адаптивной ШСУ. $\cdot 8 {, } 6\%$ $( 4,4 ~ \mathrm { ~ \% B }$ дальности радиолинии). В таблице 2 представлены усредненные значения потерь в уровне передачи мощности $( \Delta K ( f ^ { 2 } ) )$ и в дальности радиолинии $\left( \Delta R _ { \mathrm { m a x } } \right)$ для различных диапазонов частот.
Таблица 2: Потери уровня передачи мощности и дальности радиолинии
<table><tr><td rowspan="3">УсловnersПлuya тацни</td><td colspan="11">Диапазоны часот</td></tr><tr><td colspan="2">I (30-108 MГι)</td><td colspan="2">II (108-146 MГι)</td><td colspan="2">III (146-174 MГι)</td><td colspan="2">IV (220-380 MГι)</td><td colspan="2">V (380-470 MГι)</td><td>VI (470-512 MГι)</td></tr><tr><td>ΔK(f 2)</td><td>Δ Rmáx</td><td>ΔK(f 2)</td><td>Δ Rmáx</td><td>ΔK(f 2)</td><td>Δ Rmáx</td><td>ΔK(f 2)</td><td>Δ Rmáx</td><td>ΔK(f 2)</td><td>Δ Rmáx</td><td>ΔK(f 2)</td></tr><tr><td>Бeз</td><td>21,3</td><td>11,3</td><td>31,4%</td><td>17,2</td><td>36,3</td><td>20.2</td><td>19%</td><td>10%</td><td>11,3</td><td>5,8%</td><td>12,2</td></tr><tr><td>6,3%</td><td></td><td></td><td></td><td></td><td></td><td></td><td></td><td></td><td></td><td></td><td></td></tr></table>
<table><tr><td>адаптивн ого ШСУ</td><td>%</td><td>%</td><td>%</td><td>%</td><td>%</td><td>%</td><td>%</td><td>%</td><td>%</td><td>%</td><td>%</td><td>%</td></tr><tr><td>адаптивн ым ШСУ</td><td>16,4%</td><td>8,6%</td><td>9,6%</td><td>4,9%</td><td>9,8%</td><td>5%</td><td>13,2%</td><td>6,8%</td><td>8,1%</td><td>4,1%</td><td>7,8%</td><td>4%</td></tr></table>
<table><tr><td>адаптивн ого ШСУ</td><td>%</td><td>%</td><td>%</td><td>%</td><td>%</td><td>%</td><td>%</td><td>%</td><td>%</td><td>%</td><td>%</td><td>%</td></tr><tr><td>адаптивн ым ШСУ</td><td>16,4%</td><td>8,6%</td><td>9,6%</td><td>4,9%</td><td>9,8%</td><td>5%</td><td>13,2%</td><td>6,8%</td><td>8,1%</td><td>4,1%</td><td>7,8%</td><td>4%</td></tr></table>
Таким образом, синтезированное адаптивное ШСу обеспечивает уменьшение потерь уровня КПМ отвходного (выходного) тракта к АУ радиостанции Р-181 на $3 \: \mathrm { ~ - ~ } 26 \: \mathrm { ~ \% ~ }$ что позволяет увеличить усредненную потенциально достижимую дальность действия радиолинии [6, с. 215] для АУ от $2\%$ до $15\% \mathbf { B }$ рамках представленных экспериментальных исследований.
## II. Заключение
Для выполнения поставленной задачи была разработана математическая модель адаптивного ШСу, обеспечивающая увеличение уровня передачи мощности в различных условиях эксплуатации за счет уменьшения дисперсии модуля функции коэффициента отражения. На основе которой было синтезировано адаптивное ШCУ для АУ АD-25/CW-3512, что позволило увеличить потенциальную дальность радиолинииот 2 до $15\%$ в рамках представленных экспериментальных исследований.
### СПИСОК ИСПОЛЬЗОВАННЫХ ИСТОЧНИКОВ
1. Дик, А.М. Радиостанции малой и средней мощности/А. М. Дик, А. В. Кашмаров, А.В. Макатерчик. – Минск: БГУИР, 2014. - 108 с.
2. Бойкачев, П. В. Результаты исследования влияния условий эксплуатации на импеданс антенных устройств радиостанций Овч/увч диапазонов/П. В. Бойкачев, И. А. Дубовик, В. О. Исаев //«Вестник» ВАРБ. – 2019. — No2(63). – С.32-40.
3. Дубовик, И. А. Методика синтеза согласующих устройств для широкополосных радиотехнических устройств с нестабильным импедансом нагрузки на основе метода вещественных частот/И. А. Дубовик, П. В. Бойкачев/Докл. БГУИР. – 2021. – No 19. – C.70–78.
4. Руководство по эксплуатации радиостанции Р-181-5НУ КЛСИ.464429.003-01 РЭ.
5. Trivalantene. Datasheet AD-25/CW-3512. — Slovenia, 2019.
6. Гришин, В.П. Радиотехнические системы. / В. И. Гришин, Ю. М. Ипатов, Ю. М.Казаринов: [и др.].– М., 1990.– 496 с.
7. Полушин П.А. Самойлов А.Г., Самойлов С.А. Адаптация цепей согласования импеданса высокочастотных нагрузок //Симпозиум с международным участием Аэрокосмические приборные технологии. Москва. 1999. - С.34-35.
8. Коновалов Г.Ф.,Радиоавтоматика/ Г.Ф. Коновалов. - М.: Высш. шк., 1990. – 335 с.
9. Гехер, К., ред: Ю.л. Хотунцева. Теория чувствительности и допусков электронных цепей. М.Сов. радио.
1973.
10. Филановский И.М., Персианов А.Ю., Рыбин В.К., Схемы с преобразователем сопротивления/И.М. Филановский, А.Ю. Персианов, В.К., Рыбин. – Л., «Энергия».
1973.
Generating HTML Viewer...
References
19 Cites in Article
А Дик (2014). Бифуркационный анализ регуляции активности ноцицептивных нейронов.
П Бойкачев (2019). РЕЗУЛЬТАТЫ ИССЛЕДОВАНИЯ ВЛИЯНИЯ ТВЕРДОСТИ И МИКРОСТРУКТУРЫ ТОРМОЗНЫХ ЛОКОМОТИВНЫХ КОЛОДОК НА ЭКСТРЕМАЛЬНОЕ ТОРМОЖЕНИЕ ЛОКОМОТИВА.
И Дубовик (2021). Методика синтеза согласующих устройств для широкополосных радиотехнических устройств с нестабильным импедансом нагрузки на основе метода вещественных частот.
Руководство По эксплуатации радиостанции.
Trivalantene (2019). Unknown Title.
Д Гришин,И Гришин (1990). Каталитические системы на основе железа в процессах контролируемой радикальной полимеризации с переносом атома.
П Полушин,А Самойлов,С Самойлов (1999). Адаптация цепей согласования импеданса высокочастотных нагрузок //Симпозиум с международным участием Аэрокосмические приборные технологии.
Г Коновалов (1990). Радиоавтоматика / Г.Ф. Коновалов.
К Гехер,: Ред (1973). Хотунцева. Теория чувствительности и допусков электронных.
И Филановский,А Персианов,В Рыбин (1973). Unknown Title.
Справочник По (1985). теории вероятностей и математической статистике / B.C. Королюк и др.
И Дубовик (2017). Ганзейский союз: от зарождения к возрождению: сборник статей Второй междунар. науч. конф. молодых ученых.
И Дубовик (2021). Методы синтеза согласующих цепей для широкополосных радиотехнических устройств c нестабильным импедансом нагрузки.
И Дубовик,П Бойкачев,В Исаев (2020). Комплексный критерий синтеза широкополосных согласующих устройств на основе инварианта чувствительности.
А Курушин,А Пластиков (2011). CST Microwave studio.
Mwo Руководствопо (2018). Reliability based investigation of design factors.
А Ланнэ (1969). Оптимальный синтез линейных электрических цепей / А.
Техника Связи (2021). http://ljournal.ru/wp-content/uploads/2017/03/a-2017-023.pdf.
А Самуилов,Методика (2013). Кучинская-Паровая И.И., Гулякина Н.А. Методика проектирования нейронных сетей, ориентированных на обработку баз знаний.
No ethics committee approval was required for this article type.
Data Availability
Not applicable for this article.
How to Cite This Article
Dubovik Ilya Andreevich. 2026. \u201cMatching Device for AD-25/CW-3512 Broadband Antenna System Adaptive to Changing Load Impedance\u201d. Global Journal of Research in Engineering - F: Electrical & Electronic GJRE-F Volume 22 (GJRE Volume 22 Issue F3).
Explore published articles in an immersive Augmented Reality environment. Our platform converts research papers into interactive 3D books, allowing readers to view and interact with content using AR and VR compatible devices.
Your published article is automatically converted into a realistic 3D book. Flip through pages and read research papers in a more engaging and interactive format.
Our website is actively being updated, and changes may occur frequently. Please clear your browser cache if needed. For feedback or error reporting, please email [email protected]
Thank you for connecting with us. We will respond to you shortly.