Sónia Cristina Cardoso dos Santos Silva The Cunene River a Cross-Border Resource: Reflections on its use in South Angola (Angola-Namibia) and the Role of SADC
Holenu Mangenda Holy Analysis of the Household Waste Management System and the Health and Environmental Impact in the Municipality of Kasa Vubu, City of Kinshasa in the Democratic Republic of Congo
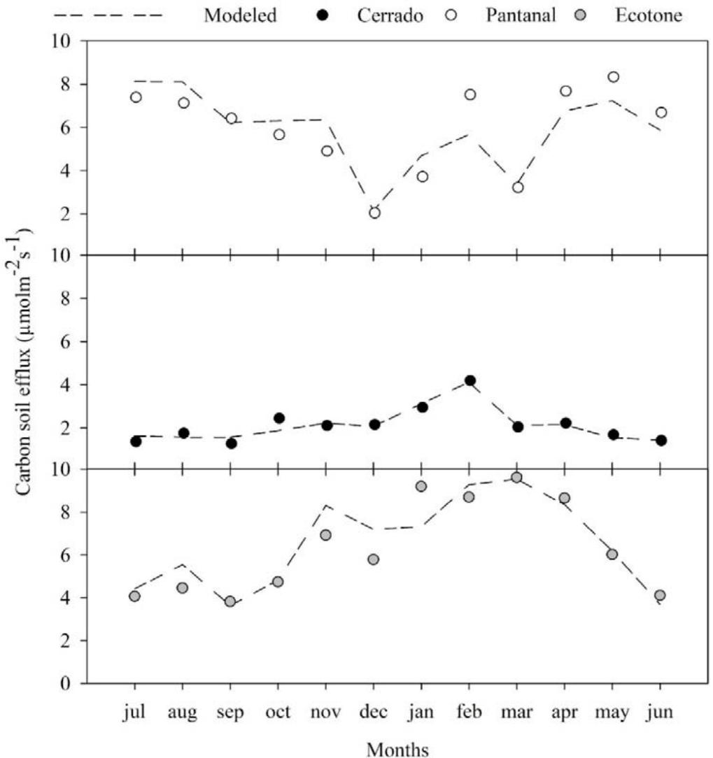
Jonathan Willian Zangeski Novais Evaluating Soil Carbon Efflux Responses to Soil Moisture and Temperature Variations in Brazilian Biomes
David Christian De Lima Ferreira et al. Measurement of Vertical Profiles of the Atmospheric Surface Layer With Low-Cost Instrumentation on Board a Drone